● (71)analysis emphasizes the drawing of pictorial system models to document andvalidate both existing and/or proposed systems. Ultimately, the system models become the(72) for designing and constructing an improved system. (73)is such a technique.The emphasis in this technique is process-centered. Systems analysts draw a series of processmodels called(74). (75) is another such technique that integrates data and processconcerns into constructs called objects.
(71)
● 在 Windows 操作系统中,采用 (69) 命令来测试到达目标所经过的路由器数目及IP 地址。
(69)
● 分配给某校园网的地址块是202.105.192.0/18,该校园网包含 (68) 个C类网络。
(68)
● 关于ARP 表,以下描述中正确的是(67) 。
(67)
● 由权值为 29、12、15、6、23 的五个叶子结点构造的哈夫曼树为(64),其带权路径长度为 (65) 。


● 对 n 个元素的数组进行 (63) ,其平均时间复杂度和最坏情况下的时间复杂度都是O(nlogn)。
(63)
● 关于路由器,下列说法中错误的是 (66) 。
(66)
● 设商店有 10 元、5 元、2 元和 1 元的零币,每种零币的数量充足。售货员给顾客找零钱时,零币的数量越少越好。例如给顾客找零 29 元:先选 2 张 10 元币,然后选择 1张5元币,再选择两张2元币。以上的找零钱方法采用了(62) 策略。
(62)
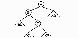
● 下图所示平衡二叉树(树中任一结点的左右子树高度之差不超过 1)中,结点 A的右子树 AR 高度为 h,结点 B 的左子树 BL 高度为 h,结点 C 的左子树 CL、右子树 CR高度都为h-1。若在CR中插入一个结点并使得CR的高度增加1,则该二叉树 (61) 。

(61)
● 某工程计划如下图所示,各个作业所需的天数如下表所示,设该工程从第 0 天开工,则该工程的最短工期是 (59) 天,作业J最迟应在第 (60) 天开工。

(59)A. 17 B. 18 C. 19 D. 20
(60)A. 11 B. 13 C. 14 D. 16
2017年软考中级多媒体应用设计师模
2017年软考中级多媒体应用设计师模
2017年软考中级多媒体应用设计师模
2006年上半年《多媒体应用设计师》
2007年下半年《多媒体应用设计师》
2008年下半年《多媒体应用设计师》
2010年5月份软考《多媒体应用设计
2011年上半年多媒体应用设计师下午
2011年上半年多媒体应用设计师下午
2012年上半年软考《多媒体应用设计