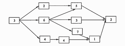
● Each box is an activity; the number it contains is the duration of the activity in days. The duration of the critical path is (75) .

(75)
● Which of the following is not part of the quality assurance process?(73)
(73)
● Which of the following is not part of a modern quality management concept?(74)
(74)
● 《计算机软件保护条例》规定:对于在委托开发软件活动中,委托者与受委托者没有签订书面协议,或者在协议中未对软件著作权归属做出明确的约定,其软件著作权归(70) 。
(70)
● The (72) has several major components, including the system kernel, a memory management system, the file system manager, device drivers, and the system libraries.
(72)
● Which of the following elements can be called the key element of a computer?(71)
(71)
● 对招标文件的响应存在非实质性的细微偏差的投标书,(68) 。
(68)
● 在某工程网络计划执行过程中,如果某项非关键工作实际进度拖延的时间超过其总时差,则(69) 。
(69)
● 检验外购电子设备是否合格,一般要经过(65) 后进行判断。
(65)
● 工程进度控制是监理工程师的主要任务之一,其最终目的是确保项目(66)
(66)
2017年软考中级多媒体应用设计师模
2017年软考中级多媒体应用设计师模
2017年软考中级多媒体应用设计师模
2006年上半年《多媒体应用设计师》
2007年下半年《多媒体应用设计师》
2008年下半年《多媒体应用设计师》
2010年5月份软考《多媒体应用设计
2011年上半年多媒体应用设计师下午
2011年上半年多媒体应用设计师下午
2012年上半年软考《多媒体应用设计