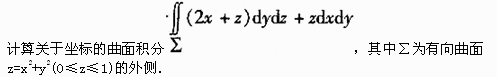
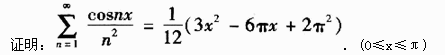
2012年自考高等数学(工本)标准预测试卷(五):2012年自考高等数学(工本)标准预测试卷。本试卷总分100分;共有4类型题目
2017年自考计算机应用基础模拟试题
2017年自考《计算机应用基础》模拟
2017年自考《计算机应用基础》基础
自考计算机应用基础真题及答案(201
2013年1月全国自学考试管理系统中
2013年7月全国自考管理系统中计算
全国2013年10月全国自学考试管理
2012年1月全国高等教育自学考试《