向量A和B各有6个元素,计算向量点积

若在顺序方式下,一次“加”需4△t,一次“乘”需3△t,求执行完A.B所需的时间。
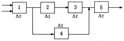
30. 在如下图所示的静态双功能流水线上计算A.B,其中,1→2→3→5为加法流水线,1→4→5为乘法流水线,输出可直接返回输入,延迟时间和功能切换的时间忽略不计。设计合理的算法,使完成A.B的时间最少。画出流水时空图,并标出全部算完的时间。

27. 计算与5号处理器直接相连的处理器。
28. 由霍纳法则给定表达式E=(a+b+c)+d(e++fg),根据多处理机并行算法给运算加速,通过树形方法计算并行处理的处理机机数P、级别Tp、加速比Sp和设备利用率Ep。
编号为0、1、2、…、1 5的16个处理器.用PM21单级互连网络瓦连。
(1)写出所有各种单级PM2I的互连函数的一般式。
(2)计算与5号处理器直接相连的处理器。
写出所有各种单级PM2I的互连函数的一般式。
25. 简述超长指令机系统设计的基本原则。
22. 采用重叠方式解决访主存冲突问题,具体的解决办法是什么?
23. 简述在流水机器中全局性相关的概念及处理全局性相关的方法。
24. 流水线的特点是什么?
20. 多立方体网络的控制方式有__________、__________和单元控制。
2018年4月电子商务全国自考(电子
2017年10月电子商务全国自考(电
2017年4月电子商务全国自考(电子
2016年10月电子商务全国自考(电
2016年4月电子商务全国自考(电子
2015年10月电子商务全国自考(电
2015年4月电子商务全国自考(电子
2014年10月电子商务全国自考(电
2014年4月电子商务全国自考(电子
2013年10月电子商务全国自考(电