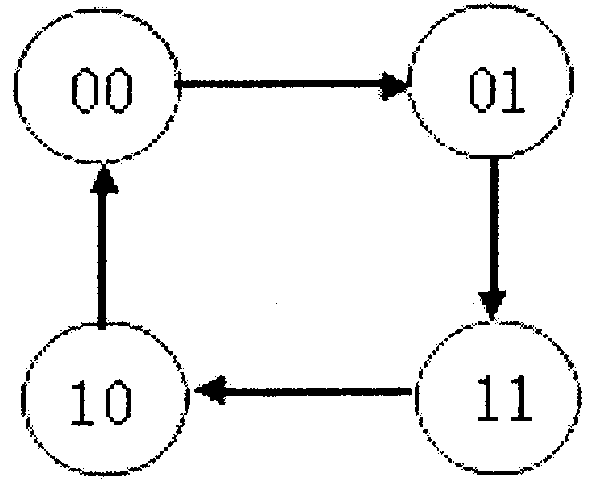
试用D触发器设计一个符合下列状态图所示的同步四进制计数器。
要求:(1)画出电路状态卡诺图;
(2)写出状态方程、驱动方程;
(3)画出逻辑电路图。

运放电路如题40图所示,已知ui1=5mV,ui2=10mV,R1=2kΩ,Rf1=2kΩ,R3=4kΩ,Rf2=4kΩ,R4=2kΩ。
要求:(1)写出输出电压uo与输入电压ui1、ui2之间的运算关系式;
(2)求uo1、uo、R2的值。

试用3-8译码器74LS138和门电路实现一个判别电路,输入为3位二进制代码(ABC),当输入代码能被3整除时,电路输出F为“1”,否则为“0”。
要求:(1)列出真值表;
(2)写出F的表达式;
(3)用与非门完成题41图的连接。

放大电路如题39图所示,已知晶体管的=50,UBEQ=0.6V,各电容足够大,对输入信号频率呈短路。
要求:(1)计算静态集电极电流ICQ的值;
(2)画出微变等效电路;
(3)计算电压增益
;
(4)计算输入电阻Ri的值。

电路如题37图所示,写出F的最简与或表达式。

画出题38图所示电路的状态转换图和状态转换真值表(设起始状态Q2Q1Q0=000)。

用卡诺图法判断下列函数F和G有何关系。

利用公式化简下列函数,写出最简与或表达式。
![]()
写出题36图所示电路输出函数的逻辑表达式,列出真值表,并说明其功能。

已知数学运算关系式![]()
要求:(1)画出用一个运放实现此运算关系式的电路;
(2)若积分电阻R1=500kΩ,求积分电容的电容量。
2018年4月电子商务全国自考(电子
2017年10月电子商务全国自考(电
2017年4月电子商务全国自考(电子
2016年10月电子商务全国自考(电
2016年4月电子商务全国自考(电子
2015年10月电子商务全国自考(电
2015年4月电子商务全国自考(电子
2014年10月电子商务全国自考(电
2014年4月电子商务全国自考(电子
2013年10月电子商务全国自考(电