广西2012年公务员《行测》全真模拟预测试卷(1)
-
第 120 题 根据材料,可以推断出的结论是( )。
- A.主要出口市场逐渐回暖,出口降幅持续收窄
- B.2009年浙江省对中国台湾的进出口总额超过对中国香港进出口总额的2倍
- C.2009年日本为浙江省第一大进口来源地
- D.2008年浙江省对欧盟的出口额不足400亿美元
-
第 119 题 2009年浙江省对主要市场的出口额与进口额增长率排名相同的有( )。
- A.0个
- B.1个
- C.2个
- D.3个
-
第 118 题 2008年浙江省对东盟的出口额比对日本的出口额( )。
- A.多10.3%
- B.少10.3%
- C.多12.6%
- D.少12.6%
-
根据以下资料。回答 116~120 题。

第 116 题 2009年浙江省对主要市场的出口额为( )。
- A.849.2亿美元
- B.854.4亿美元
- C.856.3亿美元
- D.857.8亿美元
-
第 117 题 2008年浙江省对美国的进出口总额为( )。
- A.289.2亿美元
- B.301.9亿美元
- C.308.4亿美元
- D.315.4亿美元
-
第 114 题 2007年,普通初中的四项平均达标率比小学高出近( )。
- A.10个百分点
- B.12个百分点
- C.14个百分点
- D.16个百分点
-
第 113 题 2001年以来.普通初中四项达标率增速最快的是( )。
- A.体育运动场馆面积
- B.音乐器械配备
- C.美术器械配备
- D.数学自然实验仪器配备
-
第 115 题 按2001—2007年的发展速度,以下判断正确的是( )。
- A.到2010年,小学的办学条件将会进一步改善,但仍差于中学的办学条件
- B.到2010年,小学的美术器械配备达标率将高于音乐器械配备达标率
- C.到2010年,中小学校舍建筑面积将会大幅增加
- D.到2010年,中小学的体育场馆面积将占到总校舍建筑面积的三分之一
-
第 112 题 2007年与2001年相比,小学四项达标率增幅最小的是( )。
- A.体育运动场馆面积
- B.音乐器械配备
- C.美术器械配备
- D.数学自然实验仪器配备
-
根据以下资料,回答 111~115 题。

第 111 题 2007年比2001年中小学校舍建筑面积增加了( )。
- A.27%
- B.24%
- C.22%
- D.18%
-
第 109 题 2007年,茶叶产量与烤烟产量之比为( )。
- A.1:4.7
- B.1:4.5
- C.1:3.9
- D.1:3
-
第 110 题 以下说法错误的是( )。
- A.2008年,各农产品分类中,粮食产量是最多的
- B.2008年与上年相比,烤烟产量的增长率最大
- C.2007年,苹果产量超过水果总产量的一半

-
第 108 题 2008年,下列各农产品分类中与上年相比产量增量最大的是( )。
- A.粮食产量
- B.蔬菜产量
- C.水果总产量
- D.园林水果产量
-
根据以下资料。回答 106~110 题。
2008年,陕西省全省粮食生产喜获丰收,粮食播种面积4852.1万亩,较上年增长4.4%,总产量稳定增加;果业生产再上新台阶,园林水果总产量突破1000万吨大关。

第 106 题 2007年,陕西省全省粮食亩产量为( )。
- A.0.24吨
- B.0.23吨
- C.0.24万吨
- D.0.23万吨
-
第 107 题 2008年,各农产品分类大类中增长率第’三高的是( )。
- A.油菜籽产量
- B.园林水果产量 ※
- C.蔬菜产量
- D.棉花产量
-
第 105 题 2007年,低收入国家、中等收入国家、高收入国家国内生产总值之比为( )。
- A.1:13.48:68.61
- B.1:15.25:70.04
- C.1:15.08:64.37
- D.1:16.47:49.61
-
第 104 题 根据上面的表格,下列说法中正确的一项是( )。
- A.2004-2007年,最不发达国家国内生产总值占低收入国家的比重略有下降
- B.2004年,中下等收入国家国内生产总值首次超过中上等收入国家
- C.1990-2007年,东亚和太平洋地区国内生产总值占中、低收入国家的比重上升了13.9个百分点
- D.2007年,经合组织成员国国内生产总值是非经合组织成员国的18倍
-
第 103 题 2000-2007年,中、低收入国家六个地区国内生产总值中年均增速最大和最小的地区分别是( )。
- A.欧洲和中亚,拉丁美洲和加勒比
- B.东亚和太平洋,拉丁美洲和加勒比
- C.欧洲和中亚,撒哈拉以南非洲
- D.东亚和太平洋,撒哈拉以南非洲
-
第 102 题 1990-2007年,中等收入国家国内生产总值占世界国内生产总值的比重( )。
- A.减少7.2个百分点
- B.增加8.4个百分点
- C.增加7.2%
- D.减少8.4%
-
第 100 题 某班委会五人分工,分别担任正、副班长,学习委员,劳动委员,体育委员,其中甲不能担任正班长,乙不能担任学习委员,则不同的分工方案有多少种?
- A.78
- B.60
- C.72
- D.102
-
根据以下资料。回答 101~105 题。

第 101 题 1990—2007年。世界国内生产总值增长了( )。
- A.1.232倍
- B.1.348倍
- C.148.4%
- D.152.9%
-
第 99 题 A、B两地相距540千米。甲、乙两车同时从A地出发,往返行驶于A、B两地之间,都是到达之后立即返回,乙车较甲车快。设两辆车同时从A地出发后第一次和第二次相遇都在途中P地。那么到两车第三次相遇为止,乙车共走了多少千米?
- A.1080
- B.1620
- C.1890
- D.2160
-
第 97 题 三个运动员跨台阶,台阶总数在100—150级之间,第一位运动员每次跨3级台阶,最后一步还剩2级台阶。第二位运动员每次跨4级台阶,最后一步还剩3级台阶。第三位运动员每次跨5级台阶,最后一步还剩4级台阶。这些台阶总共有( )级。
- A.119
- B.121
- C.129
- D.131
-
第 98 题 某市2009年末汽车保有量为50万辆,预计此后每年报废上一年末汽车保有量的5%,并且每年新增汽车数量相等,如要求该市汽车保有量不超过200万辆,那么每年新增汽车数量不应超过多少万辆?
- A.2.5
- B.5
- C.7.5
- D.10
-
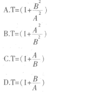
第 96 题 同时打开直径为A与直径为8的水龙头放水,1分钟后能够装满水槽。如果只打开直径为A的水龙头,要花多少分钟(T)才能装满?

-
第 95 题 有面积为1平方米、4平方米、9平方米、16平方米的正方形地毯各10块,现有面积为25平方米的正方形房间需用以上地毯来铺设,要求地毯互不重叠且而好铺满。问最少需几块地毯?
- A.6块
- B.8块
- C.10块
- D.12块
-
第 93 题 小明步行从甲地出发到乙地,李刚骑摩托车同时从乙地出发到甲地。48分钟后两人相遇,李刚到达甲地后马上返回乙地,在第一次相遇后l6分钟追上小明。如果李刚不停地往返于甲、乙两地,那么当小明到达乙地时。李刚共追上小明几次?
- A.3
- B.6
- C.5
- D.7
-
第 94 题 如果把一个体积为125立方厘米的正方体铁块切割成体积相等的8个小正方体。则每个小正方体铁块的表面积是( )。
- A.6.25平方厘米
- B.5.625平方厘米
- C.16.5平方厘米
- D.37.5平方厘米
-
第 92 题 大学生进行9天野营拉练,晴天每天走32千米,雨天每天走25千米,一共走了274千米.则拉练期间雨天的天数是( )。
- A.1
- B.4
- C.5
- D.2
-
第 91 题 现有6个一元面值硬币正面朝上放在桌子上,你可以每次翻转5个硬币(必须翻转5个),问你最少经过几次翻转可以使这6个硬币全部反面朝上?
- A.5次
- B.6次
- C.7次
- D.8次
-
第 90 题 下列各项中,哪些是郭守敬的事迹?( )
①写成《梦溪笔谈》②算出一年的时长为365.2425天③编成《授时历》④主持全国范围内的天文测量
- A.①②
- B.①③
- C.③④
- D.②③④
-
第 89 题 许多家庭的门上都装有防盗门镜(俗称“猫眼”)。从室内透过防盗门镜向外看,可以看到来客的正立、缩小的像。由此可以断定,此时防盗门镜的作用相当于一个( )。
- A.凸透镜
- B.凹透镜
- C.三棱镜
- D.玻璃砖
-
第 88 题 下列关于计算机通讯技术的表述不正确的是( )。
- A.Web2.0的用户既是网站内容的浏览者,也是网站内容的制造者
- B.3G相对于2G的优势在于传输声音和数据的速度更快’
- C.物联网是在互联网基础上,实现人与物品之间的信息交换
- D.进入纳米时代,新材料研究成为计算机芯片发展的关键
-
第 86 题 下列关于管理学常识的表述正确的是( )。
- A.管理幅度与管理层次之间存在正比例关系
- B.“审时度势,相机权变”是权变原理的实质
- C.效率性原则是公共危机管理的首要原则
- D.行政协调是指行政机关运用各种媒介传递或交流行政信息的过程
-
第 87 题 被誉为意大利文艺复兴“三杰”的是( )。
- A.达?芬奇、米开朗基罗、拉斐尔
- B.达?芬奇、泰戈尔、拉斐尔
- C.莎士比亚、达?芬奇、但丁
- D.米开朗基罗、拉斐尔、托尔斯泰
-
第 85 题 养花专业户李某为防止偷花,在花房周围私拉电网。一日晚,白某偷花不慎触电,经送医院抢救,不治身亡。李某对这种结果的主观心理态度是什么?( )
- A.直接故意
- B.间接故意
- C.过于自信的过失
- D.疏忽大意的过失
-
第 84 题 关于犯罪主体的刑事责任,以下说法错误的是( )。
- A.已满十四周岁不满十八周岁的人犯罪,应当从轻或者减轻处罚
- B.间歇性的精神病人在精神正常的时候犯罪,应当负刑事责任
- C.醉酒的人犯罪,应当负刑事责任
- D.已满七十周岁的人故意犯罪的,可以从轻或者减轻处罚
-
第 82 题 发明的专利权、版权或商业秘密带来的独占权,是由哪种市场垄断造成的?( )
- A.由资源的天然禀性带来产品(或服务)的独特性
- B.强制势力形成的垄断
- C.成本特性产生的垄断
- D.创新带来的垄断
-
第 83 题 成语“草木皆兵”反映的历史事件是( )。
- A.淝水之战
- B.赤壁之战
- C.官渡之战
- D.长平之战
-
第 81 题 如果政府把经济增长作为宏观调控的正常目标,通常要实行扩张性的财政政策和货币政策,以刺激总需求,一般情况下,这会导致( )。
- A.物价水平下降或通货紧缩
- B.物价水平上升或通货膨胀
- C.就业机会减少或失业率提高
- D.通货紧缩和就业机会增加
-
第 80 题 中国共产党的最早组织是( )。
- A.北京共产主义小组
- B.上海共产主义小组
- C.广州共产主义小组
- D.长沙共产主义小组
-
第 79 题 下列哪项不属于突发公共卫生事件?( )
- A.某工厂工人在食堂就餐时发生大规模食物中毒
- B.某化工厂化学原料发生泄漏,造成周围居民大面积中毒
- C.某制鞋厂长期使用甲苯等工业原料,致使多名员工患上肌肉萎缩症
- D.在广东等地出现的禽流感
-
第 77 题 “桂林山水甲天下”,桂林山水之所以优美的最主要原因是( )。
- A.桂林属于岩溶地貌
- B.桂林属于高山地形
- C.桂林的年降雨量特别大
- D.桂林的植物种类丰富
-
第 78 题 新文化运动的主要内容是提倡( )。
- A.文学革命
- B.思想解放
- C.民主和自由
- D.民主和科学
-
第 75 题 下列说法正确的是( )。
- A.委员长、副委员长组成委员长会议,处理全国人民代表大会常务委员会的重要日常工作
- B.总理、副总理、国务委员组成国务院常务会议
- C.在全国人民代表大会闭会期间,国务院对全国人民代表大会常务委员会负责并报告工作
- D.中央军事委员会主席对全国人民代表大会和全国人民代表大会常务委员会负责并报告工作
-
第 76 题 下面诗词搭配正确的是( )。
- A.随风潜入夜,润物细无声—《春夜喜雨》李白
- B.接天莲叶无穷碧,映日荷花别样红—《晓出净慈寺送林子方》杨万里
- C.不是花中偏爱菊,此花开尽更无花—《菊花》陶渊明
- D.洛阳亲友如相问,一片冰心在玉壶—《凉州词》王昌龄
-
第 74 题 下列作品、作家、时代(国别)及体裁对应正确的是( )。
- A.《秋浦歌》—杜牧—唐代—诗歌
- B.《北京人》—曹禺—现代—话剧
- C.《哈姆雷特》—莎士比亚——英国——小说
- D.《叶甫盖尼?奥涅金》—歌德—德国—诗体小说
-
第 72 题 以下各项,说法不正确的是( )。
- A.苏轼的书法作品《黄州寒食帖》在书法界被誉为天下第一行书
- B.李隆基被后世称作“梨园祖师”
- C.《永乐大典》是历史上规模最大的类书
- D.按古代科举制度,三甲发榜时,第一甲被赐予“进士及第”的称号
-
第 73 题 科学发展观是按照“统筹城乡发展、统筹区域发展、统筹( )发展、统筹人与自然和谐发展、统筹国内发展和对外开放”的要求推进各项事业的改革和发展的一种方法论,是中国共产党的重大战略思想。
- A.政治社会
- B.经济社会
- C.文化社会
- D.精神社会
-
第 71 题 下列表述不正确的是( )。
- A.目前我国已经建设高铁客运专线8358公里,这标志着高速铁路运营总里程已位居世界第一
- B.2010年7月10日是“中国2010年上海世博会志愿者主题日”,也是世博历史上首次设立的“志愿者主题日”
- C.在2010年全球货物吞吐量排行榜中,中国稳占8席,深圳港继续保持全球第一大港的位置
- D.我国“天河一号”高性能计算机位列第三十六届世界超级计算机500强排行榜首位
-
第 70 题 所有重点大学的学生都是聪明的学生,有些聪明的学生喜欢逃课,小杨不喜欢逃课,所以小杨不是重点大学的学生。以下除哪项外,均与上述推理的形式类似?
- A.所有经济学家都懂经济,有些懂经济的学家爱投资企业,你不爱投资企业;所以,你不是经济学家
- B.所有的鹅都吃青菜,有些吃青菜的也吃鱼,兔子不吃鱼;所以,兔子不是鹅
- C.所有的人都是爱美的,有些爱美的还研究科学,亚里士多德不是爱美的人;所以,亚里士多德不研究科学
- D.所有被高校录取的学生都是超过录取分数线的,有些超过录取分数线的是大龄考生,小张不是大龄考生;所以,小张没有被高校录取
-
第 68 题 晶晶的父母正在分析孩子为什么会发生肥胖。
父亲说:“我看孩子的肥胖是由于她不爱运动引起的。”
母亲说:“我听说只有大量脂肪堆积在体内才会引起肥胖。所以我看孩子的肥胖还是因为她吃的脂肪太多引起的,和运动不运动没有关系。”下列哪项可以说明母亲对父亲的反驳是不对的?
- A.吃过多的含高脂肪的食物确实可以导致肥胖
- B.现在的孩子普遍营养过剩,又不只是他们一个孩子的问题
- C.不爱运动就容易导致脂肪大量堆积在体内
- D.因为孩子肥胖以后,运动起来会很累,所以一般越胖的孩子越不爱运动
-
某年全市的文理科高考状元都是志远私立高中的学生,于是很多家长得出结论说:“志远中学比市重点高中—一中的教学质量都高”。以下哪项最能反驳这些家长们的结论?
- A.有没有出现文理科高考状元并不是衡量学校教学水平高低的惟一标准
- B.该年志远中学学生高考平均分比市一中学生的低很多
- C.因为志远中学的教师待遇好。有不少教师离开市一中来志远教书
- D.志远中学的学生都住宿,所以他们在校学习时间比市一中学生长
-
第 67 题 经济学家:如果一个企业没有政府的帮助而能获得可接受的利润,那么它有自生能力。如果一个企业在开放的竞争市场中没办法获得正常的利润,那么它就没有自生能力。除非一个企业有政策性负担,否则得不到政府的保护与补贴。由于国有企业拥有政府的保护和补贴,即使它没有自生能力,也能够赢利。如果以上陈述为真,以下哪项陈述一定为真?
- A.如果一个企业有政策性负担,它就能得到政府的保护和补贴
- B.在开放的竞争市场中,每个企业都是有自生能力的
- C.如果一个企业没有自生能力,它就会在竞争中被淘汰
- D.如果一个企业有政府的保护和补贴,它就会有政策性负担
-
第 66 题 张先生有一位夫人和一个女儿;女儿有一位丈夫和一个儿子。这些人有如下的情况:
(1)五人中有一人是医生,而在其余四人中有一人是这位医生的病人:
(2)医生的孩子和病人亲生父母亲中年龄较大的那一位性别相同:
(3)医生的孩子不是病人;
(4)医生的孩子不是病人亲生父母亲中年龄较大的那一位。那么医生是( )。
- A.张先生
- B.张先生的夫人
- C.张先生的女儿
- D.张先生的女婿
-
第 63 题 随着数字技术的发展,音频、视频的播放形式出现了革命性转变。人们很快接受了一些新形式,比如MP3、CD、DVD等。但是对于电子图书的接受并没有达到专家所预期的程度,现在仍有很大一部分读者喜欢捧着纸质出版物。纸质书籍在出版业中依然占据重要地位。因此有人说,书籍可能是数字技术需要攻破的最后一个堡垒。以下哪项最不可能对上述现象提供解释?
- A.人们固执地迷恋着阅读纸质书籍时的舒适体验,喜欢纸张的质感
- B.在显示器上阅读,无论是笨重的阴极射线管显示器还是轻薄的液晶显示器,都会让人无端的心浮气躁
- C.现在仍有一些怀旧爱好者喜欢收藏经典图书
- D.电子书显示设备技术不够完善,图像显示速度较慢
-
第 64 题 2010年某省物价总水平仅上涨2.4%,涨势比较温和,涨幅甚至比2009年回落了0.6个百分点。可是,普通民众觉得物价涨幅较高,一些统计数据也表明,民众的感觉有据可依。2010年某月的统计报告显示。该月禽蛋类商品价格涨幅达12.3%,某些反季节蔬菜涨幅甚至超过20%。以下哪项如果为真。最能解释上述看似矛盾的现象?
- A.人们对数据的认识存在偏差,不同来源的统计数据会产生不同的结果
- B.影响居民消费品价格总水平变动的各种因素互相交织
- C.虽然部分日常消费品涨幅很小,但居民感觉很明显
- D.在物价指数体系中占相当权重的工业消费品价格持续走低
-
第 65 题 某产品滞销或者是因为质量不好,或者是因为价格太高。或者是因为广告促销没有做好:经分析该产品质量很好。那么( )。
- A.该产品滞销是因为价格太高
- B.该产品滞销是因为广告促销没有做好
- C.该产品滞销或者是因为价格太高,或者是因为广告促销没有做好
- D.该产品滞销或者既不是因为价格太高,也不是因为广告促销没有做好
-
第 61 题 为了预测大学生毕业后的就业意向,《就业指南》杂志在大学生中进行了一次问卷调查,结果显示,超过半数的答卷都把教师作为首选的职业。这说明,随着我国教师社会地位和经济收入的提高,大学生毕业后普遍不愿意当教师的现象已经成为过去。以下哪项如果为真,将严重削弱上述结论?
- A.目前我国教师的平均收入,和各行业相比,仍然是中等偏下
- B.被调查者虽然遍布全国大学100多所院校,但总人数不过1000多人
- C.被调查者的半数是师范院校的学生
- D.《就业指南》并不是一份很有影响的杂志
-
第 62 题 为了对付北方夏季的一场罕见干旱,某市居民用水量受到严格限制。不过,该市目前的水库蓄水量与8年前该市于干旱期间的蓄水量持平。既然当时居民用水量并未受到限制,那么现在也不应该受到限制。如果以下陈述为真。哪一项将最严重地削弱作者的主张?
- A.自上次干旱以来,该市并没有建造新的水库
- B.按计划,对居民用水量的限制在整个夏天仅仅持续两个月
- C.居民用水量占总用水量的50%还多
- D.自上次干旱以来,该市总人口有了极大的增长
-
第 60 题 抢劫罪:是指非法占有为目的。以暴力、胁迫或者其他方法,强行劫取公私财物的行为。根据上述定义,下列行为属于抢劫罪的是( )。
- A.甲在路上放了很多铁钉,乙骑自行车路过,车胎被扎破,甲趁乙下车查看时,迅速将乙车筐里的包拿走
- B.甲伙同乙在夜间闯入丙家中,用猎枪胁迫丙拿出现金和银行卡
- C.甲见乙手上拿着手机,上前将乙的手一碰,乙的手机掉在地上,甲迅速拿起手机逃走
- D.甲对乙怀恨在心,趁天黑时将乙打昏后逃跑,后来甲返回发现乙还未醒来,又将乙的手表拿走
-
第 59 题 和谐经济学。是指以社会经济系统的结构和功能为研究对象,以提高这一系统的功能—生产力为目的,看到的是人与自然之间的协调与可持续发展。根据上述定义,下列属于发展和谐经济行为的是( )。
- A.某国家级贫困县决定建矿开采一种稀有的金属。其理由是:虽然必须砍掉200多亩树林,一个山涧小水库也要废掉,并因此影响1000多人饮水和2000多亩土地灌溉。但该矿建成后。对发展该县经济具有重要意义
- B.某企业为在规定时间内完成客户定单。连续五天要求工人每天加班5至6个小时,工人虽然很疲劳但对加班费还是满意的
- C.某市大小采金矿有100多个,虽然大多企业设备老化、选矿技术落后,但是该市还是决定继续发展金矿业,因为该市财政收入主要来源于金矿
- D.某市在审查外资投资时发现,一家大型化工企业设备陈旧、能耗高,废水处理系统也很落后。于是断然决定停止引进该企业
-
第 58 题 公共定价法是针对政府提供的满足社会公共需要的“市场性物品”。通过选择适当的定价方法,合理地确定价格,从而使这些物品和服务得到最有效的使用,提高财政支出效益的一种方法。它包括纯公共定价和管制定价两个方面。根据上述定义,下列不需要应用公共定价法的一项是( )。
- A.汽油零售价
- B.地铁票价
- C.网吧收费
- D.手机通讯费
-
第 56 题 微观营销,是指企业必须研究消费者的特点,根据消费者的需求生产、销售产品和服务.使自己的产品、服务和营销方案与地理、人口、心理和行为因素相适应。根据上述定义,下列一定属于微观营销的是( )。
- A.某百年老字号烤鸭店生意一直非常红火,其新口味烤鸭一推出来就备受顾客好评
- B.某饮料公司根据各地人的口味偏好制造产品,有针对性地进行广告宣传,大获成功
- C.某名牌化妆品经常引领时尚,其新研制出的高级香水限量版一上市就被抢购一空
- D.某家电企业为顾客提供优质的售后服务,获得了良好的口碑,销售额不断上升
-
第 57 题 非摩擦经济,是指随着网络技术的发展,信息不对称的工业社会条件下产生的搜索、分销成本基本消失,从而产生的摆脱了“传统经济臃肿的流通环节、高成本的商业模式”的新商业模式。在非摩擦经济模式下,企业占领的市场份额越大,获利就越多。根据上述定义,下列不属于非摩擦经济的是( )。
- A.免费电子邮箱服务
- B.搜索引擎广告业务
- C.淘宝网上商店
- D.厂家网上直销
-
第 54 题 职务轮换,也称岗位轮换,是企业有计划的按照大体确定的期限,让员工或管理人员轮换担任若干种不同工作的做法,从而达到考察员工的适应性和开发员工多种能力的目的。根据上述定义,下列不属于职务轮换的是( )。
- A.新员工在就职培训结束后,让他们在各个工作岗位上轮流工作一定时期,最后才确定他们的正式工作岗位
- B.安排员工做不同的工作。开发其潜在能力,以取得多种技能,适应复杂多变的经营环境 →考试→中心
- C.为了培养经营管理骨干对企业业务工作的全面了解和对全局性问题的分析判断能力,对各部门经理级干部实行轮换制
- D.对表现优秀的干部和员工进行升职提拔。总公司的部门主管可以升到公司副总或者地方分公司总经理
-
第 55 题 “客文化”是随着网络传媒的形成和发展而出现的一种虚拟文化,具有个性、即时性、开放性、交互性、合作性,是民生文化的一种形式。它包括的形态多样,比如博客、播客、微博客、维客、黑客、红客、换客、晒客等。根据上述定义,以下不属于“客文化”的是( )。
- A.小晴是个新潮的大学生。热衷于用文字和照片将自己的生活点滴展现在网上,以获得一种心理满足
- B.小谢是个“北漂”,刚工作不久,积蓄也不多,喜欢用自己的一些闲置小物品换取别人的闲置物品来满足自己的使用需求
- C.小温是个计算机高手,常在工作之余的闲暇时间,主动找寻国内一些政府部门重要网站的系统漏洞,并告知对方弥补的方法
- D.导游小黄提醒前来旅游观光的游人,注意尊重客家人的文化习俗
-
第 53 题 同源器官是指不同生物的某些器官在基本结构、各部分和生物体的相互关系以及胚胎发育的过程彼此相同,但在外形上有时并不相似,功能上也有差别。同功器官,是指不同生物的某些器官在功能上相同,有时形状也相似,但其来源与基本结构均不同。根据上述定义,下列属于同功器官的是( )。
- A.骨骼、关节和肌肉共同构成了人体的运动系统,是人体活动的重要组成部分
- B.鱼鳃与陆栖脊椎动物的肺,均为呼吸器官,鱼鳃鳃丝来自外胚层,而肺来自内胚层 →考试→中心
- C.马铃薯的块茎和葡萄的卷须都是茎的变态结构,前者适于贮存养料,后者能用于攀岩
- D.鸟的翅膀、蝙蝠的翼手有相同的基本结构,是从共同的祖先进化来的。因为生活环境的不同而向不同的方向进化。产生了表面形态上的分歧
-
第 52 题 团体迷思,是指团体决策过程中,团体成员在集体主义精神感召下,积极追求团体的和谐与共识,却忽略了团体的真实决策目的,从而无法进行准确判断。根据上述定义,下列属于团体迷思的是( )。
- A.刚毕业的小王有些特立独行,办公室所有人都排挤他
- B.某公司因为总经理作出的错误收购决策而导致巨额亏损
- C.职工大会上,全体工人一致要求涨工资,并威胁要罢工
- D.总裁被奉为神明,会议上与其不同的正确意见也被打压
-
第 50 题 从所给的四个选项中,选择最合适的一个填入问号处,使之呈现一定的规律性:

-
第 51 题 待命假日:一些公司要求员工在假日期间保持通讯畅通(比如手机开机、掌上电脑或手提电脑随时联网等),以保证有紧急事务时能够随时找到人,马上投入工作。根据上述定义,以下属于待命假日的是( )。
- A.小谢所在的外资公司有不菲的加班费,她便常常主动在节假日加班,以获得更多的劳动报酬
- B.小青周日接到同事的电话,希望小青能去顶一下班,小青不好意思推脱,便急忙赶到公司加班
- C.小萱自己开了个网店,节假日的订单尤其多,整天在电脑前工作,常常忙得透不过气 ※
- D.经理对司机老黄说周末可能有批领导来这里视察,要老黄做好接送领导的准备,但那天领导并没有来抽查
-
第 47 题 从所给的四个选项中,选择最合适的一个填入问号处,使之呈现一定的规律性:

-
第 49 题 从所给的四个选项中,选择最合适的一个填入问号处,使之呈现一定的规律性:

-
第 48 题 从所给的四个选项中,选择最合适的一个填入问号处,使之呈现一定的规律性:

-
第 45 题 从所给的四个选项中,选择最合适的一个填入问号处,使之呈现一定的规律性:

-
第 46 题 从所给的四个选项中,选择最合适的一个填入问号处,使之呈现一定的规律性:

-
第 44 题 从所给的四个选项中,选择最合适的一个填入问号处,使之呈现一定的规律性:

-
第 43 题 从所给的四个选项中,选择最合适的一个填入问号处,使之呈现一定的规律性:

-
第 41 题 从所给的四个选项中.选择最合适的一个填入问号处,使之呈现一定的规律性:

-
第 42 题 从所给的四个选项中,选择最合适的一个填入问号处,使之呈现一定的规律性:

-
第 40 题 物质文化、技术文化的传播,其意义不仅仅局限于物质的和技术的领域,它们还可能影响人们的精神世界和生活方式,甚至产生意料之外的效果。因为这些物质产品和技术发明,还体现了创造者、发明者的精神理念、审美情趣和价值追求,体现了他们作为某一文化共同体成员所接受的文化传统的濡染和教育。而物质文化和技术文化的输出,间接地传达了这种物质产品所包含的精神内容和文化内涵,因而也就使其成为文化整体的代表而传播并发生影响。这段文字的主旨是( )。
- A.物质产品的文化内涵来自于文化传统
- B.物质文化与技术文化也能影响人们的精神文化
- C.不同文化中共有的文化传统促进了物质文化的传播
- D.物质文化与技术文化是在与不同文化的碰撞中发展的
-
第 39 题 ①乔榛、丁建华应邀__________中央电视台“艺术人生”栏目。向观众讲述了他们共同走过的艰难岁月。
⑨我们已经采取了“退耕还林,防沙固沙”等一系列措施,但要恢复良好的生态环境__________是一项十分艰巨的任务。
③__________信息通信技术的进步,知识的传播以空前的速度、几乎无时空阻隔地迅速扩散。填入划横线部分最恰当的一项是( )。
- A.作客、仍然、由于
- B.做客、仍然、由于
- C.做客、始终、因为
- D.作客、始终、因为
-
第 38 题 当你不再十分在意成功和失败。开始用一种平和的心态去审视走过的生命历程,温暖的阳光就会__________你曾经沧桑的心田,和煦的春风就会__________你曾经苦涩的心泪。填入划横线部分最恰当的一项是( )。
- A.洒满、吹干
- B.进驻、拂干
- C.照亮、擦干
- D.浸润、拭去
-
第 37 题 我国农业发展到今天,其中的任何一项工作都很难单项突进,现在结构调整引起了高度重视,但不能忽视其他方面的配套改革,尤其是必须加快市场化改革,建立全国的统一大市场,促进农村要素和产品自由流动。如果市场机制得不到应有的发育,那么以市场为导向的结构调整就失去了最重要的基础,区域化布局和比较优势的发挥也就无从谈起。这段文字主要讨论的是( )。
- A.市场是农村结构调整的导向
- B.市场机制的优势未充分发挥
- C.农业市场化改革需要加快进行
- D.农业结构调整不可能一蹴而就
-
第 36 题 依次填入下面一段文字横线处的语句,衔接最恰当的一组是( )。
在21世纪的今天,正确对待人和大自然的关系比以往任何时候都重要,__________,__________,__________,__________;__________,__________,结果也受到了大自然的报复。
①有的国家希望做到“天人合一”
②人类衣食住行所需的一切资料都取自大自然
③有的国家对待大自然的基本态度是“征服自然”
④然而,大自然的容忍是有限度的,它是会报复的
⑤他们把大自然看做伙伴,可惜他们的行动没能跟上
⑥从表面看,大自然真的被他们征服了
- A.②③①④⑤⑥
- B.②③⑥④①⑤
- C.③①⑤②④⑥
- D.③④②①⑥⑤
-
第 34 题 一个人,一个家庭,一个国家,具备了节俭的美德,具有艰苦奋斗的精神,那么,无论环境多么__________,生活多么__________,道路多么__________,都会顽强生存,一步步走出困境,最终走向强盛。填入划横线部分最恰当的一项是( )。
- A.恶劣、艰难、曲折
- B.艰难、恶劣、曲折
- C.恶劣、曲折、艰难
- D.曲折、艰难、恶劣
-
第 35 题 随着全球肉类产量的进一步增加,畜牧业对全球温室效应的影响也会增长。目前,畜牧业用地已经占到地球土地总面积的30%,作为农业增长最为迅速的一个门类,畜牧业还会占用更多的土地用来生产饲料和放牧。在拉丁美洲,为给牧场腾出空间,已经有70%的森林遭到砍伐。目前畜牧业对全球825个陆地生态区中的306个造成了威胁,并且威胁到1699个濒危物种。这段文字意在说明( )。
- A.发展畜牧业的环境代价
- B.应严格控制畜牧业发展
- C.畜牧业发展面临的瓶颈
- D.畜牧业造成的污染严重
-
第 32 题 让奥运圣火到达世界最高峰珠穆朗玛峰,是北京奥运会火炬传递的一大__________。奥运火炬登顶珠峰主要面临三个关键的__________,一是登山技术,二是火炬能不能在如此高的海拔正常燃烧,还有一个是能否顺利实现电视直播。填入划横线部分最恰当的一项是( )。
- A.亮点、难点
- B.亮点、挑战
- C.特点、挑战
- D.特点、难点
-
第 33 题 此次奥运会开幕式是中国在30年面向世界的变革之后,物质财富、动员能力和价值体系的特殊__________,是传统中国在思想上的一声__________,同时也是一个现代化的充满活力的中国的成年__________。填入划横线部分最恰当的一项是( )。
- A.结晶、回响、宣示
- B.结体、回响、宣布
- C.结体、长鸣、宣布
- D.结晶、长鸣、宣示
-
第 31 题 当今世界的工业社会面临着许多难以解决的问题:生态危机、信仰危机、种族纷争、精神危机,这些都在困扰着人类社会。于是许多哲学家、思想家乃至政府官员都主张回到传统文化和道德中去寻找解决危机的钥匙,很多人热衷于研究儒家伦理同现代的关系,东亚有些国家甚至提出“新儒学”或所谓“儒家资本主义”的口号。对这段话理解正确的一项是( )。
- A.儒家伦理是能成功地解决当今工业社会诸多危机的钥匙
- B.有些国家和个人主张从儒家学说中寻找解决当今社会难题的良方
- C.东亚有些国家是当今资本主义世界中解决了诸多危机的模范典型
- D.当今世界的诸多危机从本质上说是在儒学与现代化矛盾中产生的
-
第 29 题 迈克尔?杰克逊是流行乐坛最具影响力的音乐家之一,__________世界销量第一的专辑。他魔幻般的舞步更是让无数的明星__________。他一个人__________了世界上39个慈善救助基金会,是全世界以个人名义捐助慈善事业最多的人。填入划横线部分最恰当的一项是( )。
- A.拥有、效仿、支持
- B.持有、羡慕、成立
- C.制作、折服、赞助
- D.录制、追捧、创办
-
第 30 题 一系列网络热点事件__________网络管理应进一步__________,加大财力和人才的投入,加快完善立法。填入划横线部分最恰当的一项是( )。
- A.表明、规范
- B.证明、规划
- C.说明、规范
- D.显示、规划
-
第 28 题 学历的高低决定着网民对信息的判断能力,决定着表达自身意见和意志的理性程度。__________,也就是:网民学历越低,其信息判断力就越弱,表达自身意见和意志的理性程度就越弱。根据文意,下列那句话填入划线处最合适?( )
- A.一般情况下,二者之间呈正相关关系
- B.网络如同放大器,可以放大个体的非理性
- C.青少年网民容易出问题,主要原因在于学历
- D.从历史变化看,中国网民学历结构呈下降趋势
-
第 27 题 大自然能给我们许多启示:青松不惧风雪,是在告诉我们做人要坚毅刚强;成熟的稻穗低着头,那是在启示我们要谦虚;一群蚂蚁抬走骨头,那是在启示我们要__________。填入划横线部分最恰当的一项是( )。
- A.共同努力
- B.自食其力
- C.齐心协力
- D.尽心尽力
-
第 25 题 城市地标是一座城市最具标志性的建筑或景观,它聚焦了一座城市的魅力,是这座城市区别于另一座城市的特色之所在。我国历史上唐代长安之曲江,南宋杭州之西湖。明清南京之秦淮河、北京之故宫,近代上海之外滩,都是历史上极具特色和标志性的城市景观,并积淀为一种独特的城市意象。随着我国当代城市化进程的迅猛发展,新的城市地标不断浮出地表。这些新的城市地标如何与城市的历史文脉相协调。并体现出创新和发展。已成为今天城市建设中一个普遍性的问题。这段文字意在说明( )。
- A.城市地标是一座城市的名片和象征。能够提升城市的知名度
- B.塑造新的城市地标,是提升一座城市软实力的有效途径
- C.塑造新的城市地标应在契合历史意蕴的基础上融入现代元素
- D.城市地标的塑造是城市化进程的需要.是城市建设的重中之重
-
第 26 题 我国将着手研究基础养老金全国统筹方案,以避免异地参保者无法拿到养老金而选择退保问题的出现;将继续推进城镇医保、失业保险和工伤保险实现地市级统筹,有条件的地区实行省级统筹或省级调剂制度。以上这段话主要说明了( )。
- A.我国将进一步保障弱势群体的经济利益
- B.我国将推进职工保险事业的进一步发展
- C.我国将研究养老金保险的全国统筹方案
- D.我国将推进各类国民基本保险的统筹分配
-
第 23 题 北京奥运会尚未落幕,我们已可以__________它将作为一届极具“__________”的盛典被历史长久__________。填入划横线部分最恰当的一项是( )。
- A.确信、个性、铭记
- B.相信、特性、铭刻
- C.相信、个性、铭记
- D.确信、特性、铭刻
-
第 22 题 在健康的城市化进程中。城市不能以剥夺农村为手段来发展自己。因为城市并不必然代表先进,农村更不意味着落后。工业区边界的推进和农田的退缩并非天然正当的。如果单纯依据经济效率,则自然用地必然比不上农用地,而农用地又必然比不上工业和城市用地。但这不是城市无止境地侵蚀农村的理由。发达国家的经验证明,农村的价值会随着现代化的进程不断增加。考察一座城市的发展是否健康,一定要看它与周边农村的关系是否和谐。这段文字意在说明( )。
- A.城市不顾实际需要。狂热圈地影响城市化进程
- B.现代化进程中,城市和农村的发展不能单纯依据经济效率
- C.推进健康的城市化。城市需与周边农村和谐发展
- D.城市化进程中农村价值日益凸显
-
第 24 题 随着新的传播技术的出现,新的传播媒介也应运而生,网络媒体的影响力日益扩大,对传统媒体带来越来越严峻的挑战。手机媒体由于发展时间短、相关技术瓶颈尚需突破,目前尚未找到合理的商业模式,但是手机由于具有巨量的用户群,必将在不远的未来迎来黄金发展期,进一步颠覆传媒业市场格局。这段文字的主要内容是( )。
- A.网络媒体颠覆传媒业市场格局
- B.手机媒体颠覆传媒业市场格局
- C.手机媒体发展面临的技术瓶颈
- D.手机媒体的现状与未来
-
第 21 题 时下“大师”__________,明星闪耀,却__________,真假难辨。有的靠假造学历,伪造历史,抄袭剽窃和自我炒作,混迹文坛;有的以“大师”、“泰斗”自居,靠蛮横扯旗称霸。填入划横线部分最恰当的一项是( )。
- A.泛滥、鱼龙混杂
- B.式微、良莠不齐
- C.辈出、参差不齐
- D.匮乏、鱼目混珠
-
第 20 题 闭关自守的民族不喜欢聆听,他们只会__________,浅陋和愚昧妨碍了他们的进取;急功近利的民族不喜欢聆听,他们只会__________,浮躁和短视制约了他们的见识。填入划横线部分最恰当的一项是( )。
- A.自得其乐、鼠目寸光
- B.孤芳自赏、浮光掠影
- C.坐井观天、浅尝辄止
- D.夜郎自大、一知半解
-
第 19 题 随着我国经济持续增长,工业化水平不断提高,城市化急速推进以及人民生活水平不断改善,对能源的需求必然是急剧、大量增长的。但高增长、高耗能、高污染、高浪费、低效益的发展模式是绝对不可取的。上述这段话涉及要解决的主要矛盾,指的是( )。
- A.经济的高增长与生产的高浪费
- B.经济的高增长与企业的高污染
- C.经济的高增长与能源的高消耗
- D.经济的高增长与效能的低效益
-
第 18 题 恪守新闻真实性,是新闻界共同的“铁律”,新闻的生命也在于此。任何细节的__________,都是新闻工作的__________。都是新闻工作者的__________。填入划横线部分最恰当的一项是( )。
- A.谬误、不幸、失误
- B.失真、责任、失信
- C.失实、失误、耻辱
- D.失误、耻辱、悲哀
-
第 16 题 “获指标逾期不买车”该受罚吗?既然无法保证市民在多长时间内参加摇号一定能摇到,那么就没有理由对那些__________的市民予以惩罚,这是一个基本的公平。更何况,大到国家政策尚且可能__________,普通家庭因为种种原因而临时改变购车计划,凭什么就得挨罚呢?填入划横线部分最恰当的一项是( )。
- A.未雨绸缪、朝令夕改
- B.防患未然、反复无常
- C.居安思危、变幻莫测
- D.临渴掘井、变化多端
-
第 17 题 现在的圆明园遗址依然是侵略者暴行无可__________的历史见证,作为被侮辱、被伤害的中国人永远都不能宽恕和忘记侵略者的这一伤天害理的破坏事件,一定要完整地__________好这一极具视觉冲击力的“活证据”,使之成为对侵略者的永远的无声__________!填入划横线部分最恰当的一项是( )。
- A.辩白、保存、申诉
- B.辩论、保存、起诉
- C.辩驳、保护、控诉
- D.辩解、保护、陈述
-
第 14 题 在国际金融危机的冲击下,随着市场的__________萎缩,中国钢铁、焦化、纺织服装等行业一批企业目前正处于停产、半停产状态。虽然生产经营陷入困境,但它们都在坚持等待市场的复苏。经济界人士__________地将之称为“闷炉现象”。填入划横线部分最恰当的一项是( )。
- A.迅速、生动
- B.急剧、生动
- C.急剧、形象
- D.迅速、形象
-
第 15 题 近几年,在许多场合见义勇为被自我保护替代了。事实上,人需要的不仅仅是自我保护的智慧,更需要的是勇气和血性。很难想象,如果我们的民族在某一天再一次面临危亡的时候,我们的国人是不是要用“自我保护”的口号来心甘情愿地做“亡国奴”呢?这段话主要支持了这样的论点( )。
- A.见义勇为让位于自我保护是现在社会的流行观点
- B.不能借口树立自我保护意识而忽视勇气和血性的培养
- C.如果没了勇气和血性,一些中国人将有可能做“亡国奴”
- D.自我保护意识应被取消,因为我们需要的是勇气和血性
-
第 13 题 生物上的完美令人不寒而栗,因为那等于同种生物没有变异,进化过程失去动力。我们接受生物的多样化,可是却假定完美是物理和工程科学可欲而又可及的目标。这种观念起源于我们对许多简单问题了解得比较透彻,而“简单”往往意味着对缺陷的忽略。这段话主要支持了这样一种观点,即( )。
- A.完美不可能在科学上实现
- B.生物科学比物理和工程科学更深奥
- C.缺陷对人类整个技术文明是绝对必须的
- D.在物理和工程科学中完美是可欲而又可及的
-
第 11 题 殷墟以造字方法__________、表现内容__________、传承有序的甲骨文而在世界文明史上独领风骚。填入划横线部分最恰当的一项是( )。
- A.娴熟、多样
- B.独特、完整
- C.成熟、丰富
- D.得当、全面
-
第 12 题 我们以往所理解的“现代化”概念仅仅局限于物质层面,局限于表层经济现代化,这也是迟发展国家长期存在的一个普遍性问题:在物质层面上求变的欲望很强,而在制度层面和观念层面上却是文化守成主义的,这种状况对于现代化实际进程的影响自不必说,它对于学术的影响是导致知识的流俗化。不断地更换新词语,在新词语的装潢下重复古老的思想观念,结果是词语和口号不断地更换而社会精神气质则没有实质性的变化。这段文字要表达的主要意思是( )。
- A.现代化应包括物质的、制度的、观念的三个层面
- B.片面理解现代化是迟发展国家长期存在的一个普遍性问题
- C.物质层面的落后现状是迟发展国家片面理解现代化的一个重要因素
- D.片面理解现代化会导致知识的流俗化
-
第 9 题 解决人口老龄化问题,需要政府、社会和家庭共同努力。在传统中国,老人赡养在很大程度上属于子女义务,而不是政府责任。这种观念不仅会增加年青一代的负担。也会影响人力资源的最佳配置,同时有悖于以人为本的价值取向。将养老问题纳入社会统筹和政府责任范围,不仅会使老龄人口受益,也会减轻年青一代的负担。在这方面,一些发达国家已经探索出可资借鉴的成功经验。早在上世纪80年代,日本就在《国民年金法》《老人福利法》和《老人保健法》的基础上,制定了《长寿社会对策大纲》,以致力于建立“具有活力的长寿社会”,并将其纳入社会整体部署。通过这段文字,作者想表达的主要观点是( )。
- A.要制定完备的法律法规体系来应对人口老龄化问题
- B.中国传统重子女义务的养老模式存在弊端
- C.我国养老问题的解决需要强调社会和政府责任
- D.中国的养老模式与发达国家存在不小的差距
-
第 10 题 肉、禽、蛋等主要副食品与米、面等粮食价格的每次上涨,都会引起社会的广泛关注。客观看,有些价格上涨是合理的,有些上涨是不合理的。对此,政府和城镇居民要理性分析。尤其要善于倾听广大农民的心声,然后予以协调和平衡,使其价格趋于合理。在当今我国城乡二元体制没有打破的前提下,政府不能简单以牺牲农民利益来维护城市需要,动辄祭出“限价”的法器打压农产品价格,来维持副食品价格的表面稳定。要知道,城里人的利益需要维护。农民的利益也不能舍弃。这段话主要支持了这样一个观点,即( )。
- A.肉、禽、蛋、米、面等价格波动会牵动多方利益
- B.城里人的利益和农民的利益因为农产品得以衔接
- C.缺乏理性分析的“限价”其实是祸害农民的利益
- D.舍弃农民利益而维护城里人利益实在是本末倒置
-
第 6 题 安定的住房,是尊严的前提,幸福的第一步。城市如果要让生活更美好,就要从让每个人都住有所居开始。但住房问题又是城市最大的挑战,“房荒是城市特有的问题”。恩格斯1872年的名著《论住宅问题》就提出住房问题的根源是城市和城乡发展不平衡的问题。城市化和工业化带来人口在城市的高度集中,带来城市土地资源的稀缺,从而产生住房需求和供给之间的巨大反差。住房短缺是一种典型的“城市病”。这段文字意在说明( )。
- A.住有所居是尊严的前提,幸福的基础
- B.住房问题的产生和解决与城市发展密切相关
- C.资源的集聚效应和稀缺效应是相伴而生的
- D.住房短缺是伴随城市发展而产生的“城市病”
-
第 7 题 长江流域,无疑也是中华民族文化的__________之一。考古发现__________,旧石器时代处于长江上游今云南境内的元谋人,与黄河流域今陕西境内的蓝田人__________。这个结论具有划时代的意义。填入划横线部分最恰当的一项是( )。
- A.发源地、表明、共存
- B.发祥地、证明、并存
- C.发源地、证明、并存
- D.发祥地、表明、共存
-
第 8 题 要扭转那种重固定资产积累、轻流动资金积累的偏见,必须保持固定资产投资与流动资金投资的合理比例。据经验,流动资金投资占全部投资的30%较为适宜。按有关文件规定,在安排新建企业或扩建老企业时,应安排一定数量的流动资金投资,避免项目建成后因缺少流动资金而不能形成生产能力。这段话的主旨是( )。
- A.要控制固定资产投资的膨胀,加大对流动资金的投资
- B.必须保持固定资产投资和流动资金投资的合理比例
- C.今后要安排一定数量的流动资金投资
- D.要加大对流动资金的投资,首先要扭转轻视流动资金积累的偏见
-
第 5 题 现已证实,当我们的大脑在休息时—比如坐在椅子上发呆、躺在床上睡觉.或接受了麻醉,各个脑区之间仍在不停地传递信息。这种不间断的信息传递被称作大脑的默认模式,它所消耗的能量是我们拍打苍蝇,或有意识地对其他外在刺激作出反应时所耗能量的20倍。实际上,我们有意识去做的大多数事件,比如吃饭和演讲等,都是对大脑默认模式下基准神经活动的背离。对文段理解正确的一项是( )。
- A.大脑默认模式是有意识的神经活动
- B.人躺着休息时,很多神经活动仍在进行
- C.人们有意识做的事都是对大脑默认模式的背离
- D.大脑在休息时是传递信息最快的时候
-
第 4 题 新兴剧种虽是__________的小剧种,但其浓郁的民间性和艺术个性,受到当地人们的热烈欢迎。填入划横线部分最恰当的一项是( )。
- A.鲜为人知
- B.势单力薄
- C.偏居一隅
- D.势穷力屈
-
第 3 题 有专家认为,央企并购地方国企并不值得大力提倡。从以往的并购重组经验来看,国企与国企之间的并购重组,效果并不比民营与国企、外资与国企重组的效果好。央企与地方国企之间,出资人代表虽然不一样,但机制和体制却相差不多,__________,并不利于重组后的创新。根据文意,下列哪句话填入划线处最合适?( )
- A.在经营理念和价值取向上是趋同化的
- B.央企在经营困难时更容易得到政府的支持
- C.这些央企大规模并购地方企业的风潮值得警惕
- D.一些央企是否具备市场并购主体的地位值得警惕
-
第 2 题 哲学主要解决的,不是学习的能力,而是判断的能力。误人子弟的哲学教学方法使学子们满怀热忱而来,浑浑噩噩去,难怪他们像无数普通人一样疑惑:哲学究竟有什么用?这一问难倒了无数哲学教授。现在,德波顿的书实实在在回答了哲学的用处问题,那就是哲学能治疗心病,哲学是一付绝好的心药。这段文字表达的主要意思是( )。
- A.哲学主要解决的是判断的能力
- B.关于哲学的价值问题众说纷纭
- C.德波顿的书把哲学的功用解释为治疗心病
- D.哲学是一付绝好的心药















