2018年执业药师考试《药学专业知识一》真题及答案
-
表观分布容积V反映了药物在体内的分布情况。地高辛的表观分布容积V通常高达500L左右,大于人的体液的总体积,可( )
- A.药物与组织大量结合,而与血浆蛋白结合较少
- B.药物全部分布在血液中
- C.药物与组织的亲和性强,组织对药物的摄取多
- D.药物与组织几乎不发生任何结合
- E.药物与血浆蛋白大量结合,面与组织结合较少
-
环磷酰胺
为前体药物,需经体内活化才能发挥作用,经过氧化生成4-羟基环磷酰胺,进一步氧化生成无毒的4-酮基环磷酰胺,经过互变异构生产开环的醛基化合物。在肝脏进一步氧化生成无毒的羧酸化合物,而肿瘤组织中因缺乏正常组织所具有的酶不能代谢。非酶促反应β-消除生成丙烯醛和磷酰氮芥,磷酰氮芥及其他代谢产物都可经非水酶水解生成去甲氮芥,环磷酰胺在体內代谢的产物有( )- A.

- B.

- C.

- D.

- E.

- A.
-
同种药物的A、B两种制剂,口服相同剂量,具有相同的AUC其中制剂A达峰时间0.5h,峰浓度为116ug/ml,制剂B达峰时间3h,峰浓度73μg/ml,关于A、B两种制剂的说法,正确的有( )
- A.两种制剂吸收速度不同,但利用程度相当
- B.A制剂相对B制剂的相对生物利用度为100%
- C.B制剂相对A制剂的绝对生物和用度为100%
- D.两种制剂具有生物等效性
- E.两种制剂具有治疗等效性
-
由于影响药物代谢而产生的药物相关作用有( )
- A.苯巴比妥使华法林的抗凝血作用减弱
- B.异烟肼与卡马西平合用,肝毒性加重
- C.保奉松使华法林的抗凝血作用增强
- D.诺氨沙星与硫酸亚铁同时服用,抗菌作用减弱
- E.酮康唑与特非那定合用导致心律失常
-
与碳酸钙、氧化镁等制剂同服可形成络合物,影响其吸收的药物有( )
- A.卡那霉素
- B.左氧氟沙星
- C.红霉素
- D.美他环素
- E.多西环素
-
盐酸异丙肾上腺素气雾剂处方如下:
盐酸异丙肾上腺素 25g
维生素C 1.0g
乙醇 296.5g
二氯二氟甲烷 适量
共制成 1000g
于该处方中各辅料所起作用的说法,正确的有( )
- A.乙醇是乳化剂
- B.维生素C是抗氧剂
- C.二氯二氟甲烷是抛射剂
- D.乙醇是潜溶剂
- E.二氯二氟甲烷是金属离子络合剂
-
可作为咀嚼片的填充剂和黏合剂的辅料有( )
- A.丙烯酸树脂II
- B.甘露醇
- C.蔗糖
- D.山梨醇
- E.乳糖
-
依据检验目的不同,药品检验可分为不同的类别。关于药品检验的说法中正确的有( )
- A.委托检验系药品生产企业委托具有相应检测能力并通过资质认定或认可的检验机构对本企业无法完成的检验项目进行检验
- B.抽查检验系国家依法对生产、经营和使用的药品按照国家药品标准进行抽查检验
- C.出厂检验系药品检验机构对药品生产企业要放行出厂的产品进行的质量检验
- D.复核检验系对抽验结果有异议时,由药品检验仲裁机构对有异议的药品进行再次抽检
- E.进口药品检验系对于未获得《进口药品注册证》或批件的进口药品进行的检验
-
患儿,男,2周岁因普通感冒引起高热,哭闹不止,医师处方给予布洛芬口服混悬剂。相比固体剂型,在此病例中选用的布洛芬口服混悬剂的优势在于( )
- A.小儿服用混悬剂更方便
- B.含量高,易于稀释,过量使用也不会造成严重的毒副作用
- C.混悬剂因颗粒分布均匀,对胃肠道刺激小
- D.适宜于分剂量给药
- E.含有山梨醇,味甜,顺应性高
-
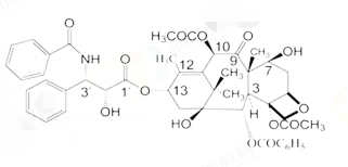
根据结构关系判断,属于多西他赛结构的是( )
- A.

- B.

- C.

- D.

- E.

- A.
-
下列药物在体内发生生物转化反应,属于第I相反应的有( )
- A.苯妥英钠代谢生成羟基苯妥英
- B.对氨基水杨酸在乙酰辅酶A作用下生成对乙酰基水杨酸
- C.卡马西平代谢生成卡马西平10,11-环氧化物
- D.地西半经脱甲基和经基化生成奥沙西洋
- E.硫喷妥钠经氧化脱硫生成戊巴比妥
-
紫杉醇(Taxo)是从美国西海岸的短叶红豆杉的树支中提取得到的具有紫杉烯环结构的二萜类化合物,属有丝分裂抑制剂或纺锤体毒素。
多西他赛( Docetaxe)是由10-去乙酰基浆果赤霉素进行半合成得到的紫杉烷类抗肿瘤药物,结构上与紫杉醇有两点不同,是第10位碳上的取代基,二是3位上的侧链。多西他赛的水溶性比紫杉醇好,毒性较小,抗肿瘤谱更广。
108.按药物来源分类,多西他赛属于( )
- A.天然药物
- B.半合成天然药物
- C.合成药物
- D.生物药物
- E.半合成抗生素
-
紫杉醇注射液中通常含有聚环氧化蓖麻油,其作用是( )
- A.助悬剂
- B.稳定剂
- C.等渗调节剂
- D.增溶剂
- E.金属整合剂
-
关于口服缓释、控释制剂的临床应用与注意事项的说法,错误的是( )
- A.控释制剂的药物释放速度恒定,偶尔过量服用不会影响血药浓度
- B.缓释制剂用药次数过多或增加给药剂量可导致血药浓度增高
- C.部分缓释制剂的药物释放速度由制剂表面的包衣膜决定
- D.控释制剂的服药间隔时间通常为12小时或24小时
- E.缓释制剂用药次数不够会导致药物的血药浓度过低,达不到应有的疗效
-
硝苯地平控释片的包衣材料是( )

- A.卡波姆
- B.聚维酮
- C.醋酸纤维素
- D.羟丙甲纤维素
- E.醋酸纤维素酞酸酯
-
患者,女,78岁,因患高血压病长期口服硝苯地平控释片(规格为30mg),每日1次,每次1片,血压控制良好。近两日因气温骤降感觉血压明显升高,于18时自查血压达170/110mmHg决定加服1片药,担心起效慢将其碾碎后吞服,于19时再次自测血压降至110/70mmHg后续又出现头晕、恶心、心悸胸间,随后就医。
105.关于导致患者出现血压明显下降及心悸等症状的原因的说法,正确的是( )
- A.药品质量缺陷所致
- B.由于控释片破碎使较大量的硝苯地平突释
- C.部分控释片破碎使硝苯地平剂量损失,血药浓度未达有效范围
- D.药品正常使用情况下发生的不良反应
- E.患者未在时辰药理学范畴正确使用药物
-
关于苯妥英钠在较大浓度范围的消除速率的说法,正确的是( )
- A.用米氏方程表示,消除快慢只与参数Vm有关
- B.用米氏方程表示,消除快慢与参数Km和Vm有关
- C.用米氏方程表示,消除快慢只与参数Km有关
- D.用零级动力学方程表示,消除快慢体现在消除速率常数K0上
- E.用一级动力学方程表示,消除快慢体现在消除速率常数k上
-
己知苯妥英钠在肝肾功能正常病人中的K=-12μg/ml,Vm=10mg/(kg.d),当每天给药剂量为3mg/(kg.d)。则稳态血药浓度Css=5.1μg/ml;当每天给药剂量为6mg/(kg.d),则稳态血药浓度Css=18μg/ml。己知 ,若希望达到稳态血药浓度12μg/ml,则病人的给药剂量是( )
- A.3.5 mg/(kg.d)
- B.40 mg/(kg.d)
- C.4.35 mg/(kg.d)
- D.5.0 mg/(kg.d)
- E.5.6mg/(kg.d)
-
苯妥英钠的消除速率与血药浓度有关,在低浓度(低于10μg/ml)时,消除过程属于一级过程;高浓度时,由于肝微粒代谢酶能力有限,则按零级动力学消除,此时只要稍微增加剂量就可使血药浓度显著升高,易出现中毒症状。苯妥英钠在临床上的有效血药浓度范围是10-20μg/ml。
101.关于苯妥英钠药效学、药动特征的说法,正确的是( )
- A.随着给药剂量增加,药物消除可能会明显减慢,会引起血药浓度明显增大
- B.苯妥英钠在临床上不属于治疗窗窄的药物,无需监测其血药浓度
- C.苯妥英钠的安全浓度范围较大,使用时较为安全
- D.制定苯妥英钠给药方案时,只需要根据半衰期制定给药间隔
- E.可以根据小剂量时的动力学参数预测高剂量的血药浓度
-
关于静脉注射苯妥英纳的血药浓度-时间曲线的说法,正确的是( )
- A.低浓度下,表现为线性药物动力学特征:剂量增加,消除半衰期延长
- B.低浓度下,表现为非线性药物动力学特征:不同剂量的血药浓度时间曲线不同
- C.高浓度下,表现为非线性药物动力学特征:AUC与剂量不成正比
- D.高浓度下,表现为线性药物动力学特征:剂量增加,半衰期不变
- E.高浓度下,表现为非线性药物动力学特征:血药浓度与剂量成正比
-
药物分子中的16位为甲基,21位为羟基,该羟基可以与磷酸或琥珀酸成酯,进一步与碱金属成盐,增加水溶性,该药物是( )
- A.氢化泼尼松

- B.曲安西龙

- C.曲安奈德

- D.地塞米松

- E.氢化可地松

- A.氢化泼尼松
-
药物分子中9位氟原子增加了抗炎活性,16位羟基降低9位氟原子带来的钠潴留副作用,将此羟基和17位羟基与丙酮生成缩酮,改善了药物动力学性质。该具有缩酮结构的药物是( )
- A.氢化泼尼松

- B.曲安西龙

- C.曲安奈德

- D.地塞米松

- E.氢化可地松

- A.氢化泼尼松
-
1.4-二氢吡啶环的2位为2-氨基乙氧基甲基外消旋体和左旋体均已用于临床的药物是( )
- A.硝苯地平

- B.尼群地平

- C.尼莫地平

- D.氨氧地平

- E.非洛地平

- A.硝苯地平
-
分子结构具有对称性,可用于治疗冠心病,并能缓解心绞痛的药物是( )
- A.硝苯地平

- B.尼群地平

- C.尼莫地平

- D.氨氧地平

- E.非洛地平

- A.硝苯地平
-
虽然(S)-异构体的活性比(R)-异构体强,但在体内会发生手性转化,以外消旋体上市的药物是( )

- A.
- B.
- C.
- D.
- E.
-
1.4-二氧吡啶环的4位为3-硝基苯基,能够通过血-脑屏障,选择性地扩张脑血管,增加脑血流量,对局部缺血具有保护作用的药物是( )
- A.硝苯地平

- B.尼群地平

- C.尼莫地平

- D.氨氧地平

- E.非洛地平

- A.硝苯地平
-
选择性抑制cox-2的非甾体抗炎药,胃肠道副作用小,但在临床使用中具有潜在心血管事存风险的药物是( )

- A.
- B.
- C.
- D.
- E.
-
含有α-羟基苯乙酸酯结构,作用快,持续时间短,用于眼科检查和散瞳的药物是( )
- A.硫酸阿托品

- B.氢溴酸东莨菪碱

- C.氢溴酸后马托品

- D.异丙托溴铵

- E.丁溴东莨菪碱

- A.硫酸阿托品
-
属于前药,在体內水解成原药后发挥解热镇痛及抗炎作用的药物是( )

- A.
- B.
- C.
- D.
- E.
-
含有氧桥结构,中枢作用较强,用于预防和治疗晕动症的药物是( )
- A.硫酸阿托品

- B.氢溴酸东莨菪碱

- C.氢溴酸后马托品

- D.异丙托溴铵

- E.丁溴东莨菪碱

- A.硫酸阿托品
-
含有季铵结构,不易进入中枢,用于平喘的药物是( )
- A.硫酸阿托品

- B.氢溴酸东莨菪碱

- C.氢溴酸后马托品

- D.异丙托溴铵

- E.丁溴东莨菪碱

- A.硫酸阿托品
-
具有肠-肝循环特征的某药物血管外给药,其血药浓度时间-曲线表现为( )
- A.

- B.

- C.

- D.

- E.

- A.
-
具有双室模型特征的某药物静脉注射给药,其血药浓度时间-曲线表现为( )
- A.

- B.

- C.

- D.

- E.

- A.
-
符合普通片剂溶出规律的溶岀曲线表现为( )
- A.

- B.

- C.

- D.

- E.

- A.
-
HMG-CoA还原酶抑制剂瑞舒伐他汀含有的骨架结构是( )

- A.吡啶环
- B.氢化萘环
- C.嘧啶环
- D.吡咯环
- E.吲哚环
-
HMG-CoA还原酶抑制剂洛伐他汀含有的骨架结构是( )

- A.吡啶环
- B.氢化萘环
- C.嘧啶环
- D.吡咯环
- E.吲哚环
-
在药品质量标准中,属于药物安全性检查的项目是( )
- A.溶出度
- B.热原
- C.重量差异
- D.含量均匀度
- E.干燥失重
-
在药品的质量标准中,属于药物有效性检查的项目是( )
- A.溶出度
- B.热原
- C.重量差异
- D.含量均匀度
- E.干燥失重
-
在规定介质中,按要求缓慢非恒速释放药物的制剂称为( )
- A.被动靶向制剂
- B.缓释制剂
- C.控释制剂
- D.主动靶向制剂
- E.物理化学靶向制剂
-
在规定的介质中,按要求缓慢恒速释放药物的制剂称为( )
- A.被动靶向制剂
- B.缓释制剂
- C.控释制剂
- D.主动靶向制剂
- E.物理化学靶向制剂
-
用药剂量过大或体内蓄积过多时发生的危害机体的反应属于( )
- A.继发性反应
- B.毒性反应
- C.特异质反应
- D.变态反应
- E.副作用
-
用修饰的药物载体将药物定向运送至靶向部位发挥药效的制剂称为( )
- A.被动靶向制剂
- B.缓释制剂
- C.控释制剂
- D.主动靶向制剂
- E.物理化学靶向制剂
-
少数病人用药后发生与遗传因素相关(但与药物本身药理作用无关)的有害反应属于( )
- A.继发性反应
- B.毒性反应
- C.特异质反应
- D.变态反应
- E.副作用
-
长期应用广谱抗菌药物导致的“二重感染”属于( )
- A.继发性反应
- B.毒性反应
- C.特异质反应
- D.变态反应
- E.副作用
-
用于碱性药物液体制剂的常用抗氧化剂是( )
- A.酒石酸
- B.硫代硫酸钠
- C.焦亚硫酸钠
- D.依地酸二钠
- E.维生素E
-
用于油溶性液体制剂的常用抗氧化剂是( )
- A.酒石酸
- B.硫代硫酸钠
- C.焦亚硫酸钠
- D.依地酸二钠
- E.维生素E
-
用于弱酸性药物液体制剂的常用抗氧化剂是( )
- A.酒石酸
- B.硫代硫酸钠
- C.焦亚硫酸钠
- D.依地酸二钠
- E.维生素E
-
连续使用吗啡,人体对吗啡镇痛效应明显减弱,必需增加剂量方可获原用剂量的相同效应,这种对药物的反应性逐渐减弱的状态称为( )
- A.精神依赖性
- B.药物耐受性
- C.身体依赖性
- D.反跳反应
- E.交叉耐药性
-
长期使用阿片类药物,导改机体对其产生适应状态,停药出现戒断综合征,这种药物的不良反应称为( )
- A.精神依赖性
- B.药物耐受性
- C.身体依赖性
- D.反跳反应
- E.交叉耐药性
-
长期使用β受体持抗药治疗高血压,如果用药者需要停药应采取逐渐减量的方式。若突然停药或减量过快,则会引起原病情加重这种现象称为( )
- A.精神依赖性
- B.药物耐受性
- C.身体依赖性
- D.反跳反应
- E.交叉耐药性
-
细胞外的K+及细胞内的Na+可通过Na+,K+-ATP酶逆浓度差跨膜转运,这种过程称为( )
- A.简单扩散
- B.滤过
- C.膜动转运
- D.主动转运
- E.易化扩散
-
可能引起肠肝循环的排泄过程是( )
- A.肾小管分泌
- B.肾小球滤过
- C.肾小管重吸收
- D.胆汁排泄
- E.乳汁排泄
-
蛋白质和多肽的吸收具有定的部位特异性,其主要吸收方式是( )
- A.简单扩散
- B.滤过
- C.膜动转运
- D.主动转运
- E.易化扩散
-
属于主动转运的肾排泄过程是( )
- A.肾小管分泌
- B.肾小球滤过
- C.肾小管重吸收
- D.胆汁排泄
- E.乳汁排泄
-
服用西地那非,给药剂量在25mg时,“蓝视”发生率为3%;给药剂量在5-100mg 时,“蓝视”发生率上升到10%。产生这种差异的原因在影响药物作用因素中属 于( )
- A.给药途径因素
- B.药物剂量因素
- C.精神因素
- D.给药时间因素
- E.遗传因素
-
硝酸甘油口服给药效果差,舌下含服起效迅速,导致这种差异的原因在影响药物作用因素中属于( )
- A.给药途径因素
- B.药物剂量因素
- C.精神因素
- D.给药时间因素
- E.遗传因素
-
黄种人服用玛咖后的不良反应发生率高于白种人,引起这种差异的原因在影响药物作用因素中属于( )
- A.给药途径因素
- B.药物剂量因素
- C.精神因素
- D.给药时间因素
- E.遗传因素
-
葡萄糖-6磷酸脱氢酶(G-6-PD)缺陷患者服用对乙酰氨基酚易发生( )
- A.溶血性贫血
- B.系统性红斑狼疮
- C.血管炎
- D.急性肾小管坏死
- E.周围神经炎
-
《中国药典》规定崩解时限为30分钟的剂型是( )
- A.含片
- B.普通片
- C.泡腾片
- D.肠溶片
- E.薄膜衣片
-
服用异烟肼,慢乙酰化型患者比快乙酰化型患者更易发生( )
- A.溶血性贫血
- B.系统性红斑狼疮
- C.血管炎
- D.急性肾小管坏死
- E.周围神经炎
-
生物利用度最高的给药途径是( )
- A.经皮给药
- B.直肠给药
- C.吸入给药
- D.口腔黏膜给药
- E.静脉给药
-
一次给药作用持续时间相对较长的给药途径是( )
- A.经皮给药
- B.直肠给药
- C.吸入给药
- D.口腔黏膜给药
- E.静脉给药
-
《中国药典》规定崩解时限为5分钟的剂型是( )
- A.含片
- B.普通片
- C.泡腾片
- D.肠溶片
- E.薄膜衣片
-
在不同药物动力学模型中,计算血药浓度与所向关系会涉及不同参数,非房室分析中,平均滞留时间是( )
- A.Km,Vm
- B.MRT
- C.Ka
- D.CI
- E.Β
-
在不同药物动力学模型中,计算血药浓度与所向关系会涉及不同参数,双空模型中,慢配置速度常数是( )
- A.Km,Vm
- B.MRT
- C.Ka
- D.CI
- E.Β
-
含有3-羟基-δ-内酯环的结构片段,需要在体内水解为3,5-二羟基羧酸,才能发挥作用的HMG-CoA还原酶抑制剂是( )
- A.辛伐他汀
- B.氟伐他汀
- C.普法他听
- D.西立伐他汀
- E.阿托伐他汀
-
他汀类药物可引起肌痛或横纹肌溶解症的不良反应,因该不良反应而撤出市场的药物是( )
- A.辛伐他汀
- B.氟伐他汀
- C.普法他听
- D.西立伐他汀
- E.阿托伐他汀
-
含有3,5-二羟基羧酸和吲哚环的第一个全合成他汀类调血药物是( )
- A.辛伐他汀
- B.氟伐他汀
- C.普法他听
- D.西立伐他汀
- E.阿托伐他汀
-
对受体亲和力病、结合牢固,缺乏内在活性(α=0)的药物属于( )
- A.完全激动药
- B.部分激动药
- C.竞争性拮抗药
- D.非竞手性拈抗药
- E.反向激动药
-
对受体有很高的亲和力和内在活性(α=1)的药物属于( )
- A.完全激动药
- B.部分激动药
- C.竞争性拮抗药
- D.非竞手性拈抗药
- E.反向激动药
-
属于不溶性骨架缓释材料的是( )
- A.羟米乙酯
- B.明胶
- C.乙烯-醋酸乙烯共聚物
- D.β-环糊精
- E.醋酸纤维素酞酸脂
-
对受体有很高的亲和力但内在活性不强(α<1)的药物属于( )
- A.完全激动药
- B.部分激动药
- C.竞争性拮抗药
- D.非竞手性拈抗药
- E.反向激动药
-
属于水溶性高分子增稠材料的是( )
- A.羟米乙酯
- B.明胶
- C.乙烯-醋酸乙烯共聚物
- D.β-环糊精
- E.醋酸纤维素酞酸脂
-
属于肠溶性高分子缓释材料的是( )
- A.羟米乙酯
- B.明胶
- C.乙烯-醋酸乙烯共聚物
- D.β-环糊精
- E.醋酸纤维素酞酸脂
-
合用两种分别作用于生理效应相反的两个特异性受体的激动药,产生的相互作用属于( )
- A.增敏作用
- B.脱敏作用
- C.相加作用
- D.生理性拮抗
- E.药理性拮抗
-
当一种药物与特异性受体结合后,阻止激动药与其结合,产生的相互作用属于( )
- A.增敏作用
- B.脱敏作用
- C.相加作用
- D.生理性拮抗
- E.药理性拮抗
-
对乙酰氨基酚在体內会转化生成乙酰亚胺醌,乙酰亚胺醌会耗竭肝內储存的谷胱甘肽,进而与某些肝脏蛋白的巯基结构形成共价加成物引起肝毒性。根据下列药物结构判断,可以作为对乙酰氨基酚中毒解救药物的是( )。

- A.
- B.
- C.
- D.
- E.
-
氨茶碱结构如图所示,《中国药典》规定氨茶碱为白色至微黄色的颗粒或粉末,易结块,在空气中吸收二氧化碳,并分解成茶碱,根据氨茶碱的性状,其贮存的条件应满足( )。

- A.遮光,密闭,室温保存
- B.遮光,密封,室温保存
- C.遮光,密闭,阴凉处保存
- D.遮光,严封,阴凉处保存
- E.遮光,熔封,冷处保存
-
普鲁卡因在体内与受体之间存在多种结合形式,结合模式如图所示图中,B区域的结合形式是( )

- A.氢键作用
- B.离子-偶极作用
- C.偶极-偶极作用
- D.电荷转移作用
- E.疏水作用
-
阿昔洛韦的母核结构是()

- A.嘧啶环
- B.咪唑环
- C.鸟嘌呤环
- D.吡咯环
- E.吡啶环
-
药物分子与机体生物大分子相互作用方式有共价键合和非共价键合两大类,以共价键合方式与生物大分子作用的药物是( )
- A.美法仑

- B.美洛昔康

- C.雌二醇

- D.乙胺丁醇

- E.卡托普利

- A.美法仑
-
易发生水解降解反应的药物是( )
- A.吗啡

- B.肾上腺素

- C.布洛芬

- D.盐酸氯丙嗪

- E.头炮唑林

- A.吗啡
-
通过抑制血管紧张素转化酶发挥药理作用的药物是( )
- A.依那普利
- B.阿司匹林
- C.厄贝沙坦
- D.硝苯地平
- E.硝酸甘油
-
患者女,60岁,因患者哮喘服用氨茶碱缓释剂,近日,因胃溃疡服用西咪替丁,三日后出现心律失常、心悸、恶心等症状。将西咪替丁换成法莫替丁后,上述症状消失,引起该患者心律失常及心悸等症状的主要原因是( )
- A.西咪替丁与氨茶碱竞争血浆蛋白
- B.西咪替丁抑制肝药酶,减慢了氨茶碱的代谢
- C.西咪替丁抑制氨茶碱的肾小管分泌
- D.西咪替丁促进氨茶碱的吸收
- E.西咪替丁增强组织对氨茶碱的敏感性
-
头孢克洛生物半衰期约为1h,口服头孢克洛胶囊后,其在体内基本清除干净(90%)的时间约是( )
- A.7h
- B.2h
- C.3h
- D.14h
- E.28h
-
关于气雾剂质量要求和贮藏条件的说法,错误的是( )
- A.贮藏条件要求是室温保存
- B.附加剂应无刺激性、无毒性
- C.容器应能耐受气雾剂所需的压力
- D.抛射剂应为无刺激性、无毒性
- E.严重创伤气雾剂应无菌
-
将维A酸制成环糊精包合物的目的主要是( )
- A.降低维A酸的溶出度
- B.减少维A酸的挥发性损失
- C.产生靶向作用
- D.提高维A酸的稳定性
- E.产生缓解效果
-
世界卫生组织关于药物“严重不良事件”的定义是( )
- A.药物常用剂量引起的与药理学特征有关但非用药目的的作用
- B.在使用药物期间发生的任何不可预见不良事件不一定与治疗有因果关系
- C.在任何剂量下发生的不可预见的临床事件,如死亡、危及生命、需住院治疗或延长目前的住院事件导致持续的或显著的功能丧失及导致先天性畸形或出生缺陷
- D.发生在作为预防、治疗、诊断疾病期间或改变生理功能使用于人体的正常剂量时发生的有害的和非目的的药物反应
- E.药物的一种不良反应,其性质和严重程度与标记的或批准上市的药物不良反应不符,或是未能预料的不良反应
-
高血压患者按常规剂量服用哌唑嗪片,开始治疗时产生眩晕、心悸、体位性低血压。这种对药物尚未适应而引起的不可耐受的反应称为( )
- A.继发性反应
- B.首剂效应
- C.后遗效应
- D.毒性反应
- E.副作用
-
通过阻滞钙离子通道发挥药理作用的药物是( )
- A.维拉帕米
- B.普鲁卡因
- C.奎尼丁
- D.胺碘酮
- E.普罗帕酮
-
普鲁卡因和琥珀胆碱联用时,会加重呼吸抑制的不良反应,其可能的原因是( )
- A.个体遗传性血浆胆碱酯酶活性低下
- B.琥珀胆碱与普鲁卡因发生药物相互作用激活胆碱酯酶的活性,加快琥珀胆碱代谢
- C.普鲁卡因竞争胆碱酯酶,影响琥珀胆碱代谢,导致琥珀胆碱血药浓度增高
- D.普鲁卡因抑制肝药酶活性,进而影响了琥珀胆碱的代谢,导致琥珀胆碱血药浓度增高
- E.琥珀胆碱影响尿液酸碱性,促进普鲁卡因在肾小管的重吸收,导致普鲁卡因血药浓度增高
-
服用阿托品在解除胃肠痉挛时,引起口干、心悸的不良反应属于( )
- A.后遗效应变态反应
- B.副作用
- C.首剂效应
- D.继发性反应
- E.变态反应
-
患者,男,65岁,患高血压病多年,近三年来一直服用氨氯地平和阿替洛尔,血压控制良好近期因治疗肺结核,服用利福平、乙胺丁醇两周后血压升高。引起血压升高的原因可能是( )
- A.利福平促进了阿替洛尔的肾脏排泄
- B.利福平诱导了肝药酶,促进了氨氧地平的代谢
- C.乙胺丁醇促进了阿替洛尔的肾脏排泄
- D.乙胺丁醇诱导了肝药酶,促进了氨氯地平的代谢
- E.利福平与氨氧地平结合成难溶的复合物
-
关于药物警戒与药物不良反应监测的说法正确的是( )
- A.药物警戒和不良反应监测都包括对已上市药品进行安全性评价
- B.药物警戒和不良反应监测的对象都仅限于质量合格的药品
- C.不良反应监测的重点是药物滥用与误用
- D.药物警戒不包括研发阶段的药物安全性评价和动物毒理学评价
- E.药物不良反应监测包括药物上市前的安全性监测
-
多剂量静脉注射给药的平均稳态血药浓度是( )
- A.重复给药达到稳态后,一个给药间隔时间内血药浓度时间曲线下面积除以给药时间的商值 B CssCmax 与CssCmin的算术平均值
- B.CssCmax与CssCmin的几何平均值
- C.药物的血药浓度时间曲线下面积除以给药时间的商值
- D.重复给药的第一个给药间隔时间内血药浓度时间曲线下面积除以给药间隔的商值
-
静脉注射某药80mg初始血药浓度为20μg/ml,则该药的表观分布容积v为( )
- A.0.25L
- B.4L
- C.0.4L
- D.1.6L
- E.16L
-
以PEG为基质的对乙酰氨基酚表面的鲸蜡醇层的作用是( )
- A.促进药物释放
- B.保持栓剂硬度
- C.减轻用药刺激
- D.增加栓剂的稳定性
- E.软化基质
-
给1型糖尿病患者皮下注射胰岛素控制血糖的机制属于( )
- A.改变离子通道的通透性
- B.影响库的活性
- C.补充体内活性物质
- D.改变細胞周围环境的理化性质
- E.影响机体免疫功能
-
关于制剂质量要求和使用特点的说法,正确的是( )
- A.注射剂应进行微生物限度检查
- B.眼用液体制剂不允许添加抑菌剂
- C.生物制品一般不宜制成注射用浓溶液
- D.若需同时使用眼膏剂和滴眼剂,应先使用眼膏剂
- E.冲洗剂开启使用后,可小心存放,供下次使用
-
关于药物吸收的说法正确的是( )
- A.在十二指 肠由载体转运吸收的药物,胃排空缓慢有利于其口服吸收
- B.食物可减少药物的吸收,药物均不能与食物同报
- C.药物的亲脂性会影响药物的吸收,油/水分配系数小的药物吸收较好
- D.固体药物粒子越大,溶出越快,吸收越好
- E.临床上大多数脂溶性小分子药物的吸收过程是主动转运
-
利培酮的半衰期大约为3小时但用法为一日2次,其原因被认为时候利培酮代谢产物也具有相同的生物活性,利培酮的活性代谢产物是( )
- A.齐拉西酮
- B.洛沙平
- C.阿莫沙平
- D.帕利西汀
- E.帕罗西汀
-
作用于升级氨酸酶的抗流感病毒药物的是( )
- A.阿昔洛韦
- B.利巴韦林
- C.奥司他韦
- D.鳞甲酸钠
- E.金刚烷胺
-
《中国药典》收载的阿司匹林标准中,记载在【性状】项的内容是( )
- A.含量的限度
- B.溶解度
- C.溶液的澄清度
- D.游离水杨酸的限度
- E.干燥失重的限度
-
用于各类高血压,也可用于预防治心绞痛的药物是( )
- A.卡托普利
- B.可乐定
- C.氯沙坦
- D.硝苯地平
- E.哌唑嗪
-
风湿性心脏病患者行心瓣膜置换术后使用华法林,可发生的典型不良反应是( )
- A.低血糖
- B.血脂升高
- C.出血
- D.血压降低
- E.肝脏损伤
-
为延长脂质体在统内循环时间,通常使用修饰的磷脂制各长循环脂质体,常用的修饰材料是( )
- A.甘露醇
- B.聚山梨醇
- C.山梨醇
- D.聚乙二醇
- E.聚乙烯醇
-
苯唑西林的生物半衰t1/2=0.5h.其30%原形药物经肾排泄,且肾排泄的主要机制是肾小球滤过和肾小球分泌,其余大部分经肝代谢消除,对肝肾功能正常的病人,该药物的肝清除速率常数是( )
- A.4.62h-1
- B.1.98h-1
- C.0.97h-1
- D.1.39h-1
- E.0.42h-1
-
靶向制剂叫分为被动靶向制剂、主动靶向制剂和物理化学靶向制剂三大类。属于物理化学靶向制剂的是( )
- A.脑部靶向前体药物
- B.磁性纳米囊
- C.微乳
- D.免疫纳米球
- E.免疫脂质体
-
评价药物安全性的药物治疗指数可表示( )
- A.ED95/LD5
- B.ED50/LD50
- C.LD1/ED99
- D.LD50/ ED50
- E.ED99/LD1
-
在配制液体制剂时,为了增加难溶性药物的溶解度,通常需要在溶剂中加入第三种物质,与难溶性药物形成可溶性的分子间络合物、缔合物和复盐等。加入的第三种物质的属于( )
- A.助溶剂
- B.潜溶剂
- C.增溶剂
- D.助悬剂
- E.乳化剂
-
与抗菌药配伍使用后,能增强抗细菌药疗效的药物称为抗菌增效剂。属于抗菌增效剂的药物是( )
- A.氨苄西林
- B.舒他西林
- C.甲氧苄啶
- D.磺胺嘧綻
- E.氨曲南
-
根据生物药剂学分类系统,属于第Ⅳ类低水溶性、低渗透性的药物是( )
- A.双氯芬酸
- B.吡罗昔康
- C.阿替洛尔
- D.雷尼替丁
- E.酮洛芬
-
为了减少对眼部的刺激性,需要调整滴眼剂的渗透压与泪液的渗透压相近、用作滴眼剂渗透压调节剂的辅料是( )
- A.羟苯乙酯
- B.聚山梨酯-80
- C.依地酸二钠
- D.硼砂
- E.羧甲基纤维素钠
-
因对心脏快速延迟整流钾离子通道( hERG K+通道)具有抑制作用,可引起Q-T间期延长甚至诱发尖端扭转型室性心动过速,现已撤出市场的药物是( )
- A.卡托普利
- B.莫沙必利
- C.莫沙必利
- D.伊托必利
- E.西沙必利
-
关于药物制剂稳定性的说法,错误的是( )
- A.药物化学结构直接影响药物制的稳定性
- B.药用辅料要求化学性质稳定,所以辅料不影响药物制剂的稳定性
- C.微生物污染会影响制剂生物稳定性
- D.制剂物理性能的变化,可能引起化学变化和生物学变化
- E.稳定性试验可以为制剂生产、包装、储存、运输条件的确定和有效期的建立提供科学依据
-
某药物在体内按一级动力学消除,如果k=0.0346h-1,该药物的消除半衰期约为( )
- A.3.46h
- B.6.92h
- C.12h
- D.20h
- E.24h
为前体药物,需经体内活化才能发挥作用,经过氧化生成4-羟基环磷酰胺,进一步氧化生成无毒的4-酮基环磷酰胺,经过互变异构生产开环的醛基化合物。在肝脏进一步氧化生成无毒的羧酸化合物,而肿瘤组织中因缺乏正常组织所具有的酶不能代谢。非酶促反应β-消除生成丙烯醛和磷酰氮芥,磷酰氮芥及其他代谢产物都可经非水酶水解生成去甲氮芥,环磷酰胺在体內代谢的产物有( )



















































































