2015年建造师二级(建设工程施工管理)模拟试卷3
-
建筑安装工程直接工程费中的人工费包括生产工人的( )。
- A.工具用具使用费
- B.医疗保险费
- C.因气候影响的停工工资
- D.劳动保护费
- E.按规定标准发放的物价补贴、交通补贴
-
归档的文件应为原件,工程文件内容及其深度必须符合国家有关工程( )等方面的技术规范、标准和规程,而且必须真实、准确,与工程实际相符合。
- A.勘察
- B.设计
- C.施工
- D.监理
- E.验收
-
根据《中华人民共和国建筑法》的规定,在实施建筑工程监理前,建设单位应书面通知施工企业的内容包括( )。
- A.工程监理单位
- B.监理单位项目负责人姓名
- C.监理的内容
- D.监理的期限
- E.监理的权限
-
施工质量管理是属于( )的质量管理。
- A.静态
- B.动态
- C.全过程
- D.被动控制
- E.预防为主
-
施工方进度控制在管理观念方面存在的主要问题有( )。
- A.缺乏进度计划系统的观念
- B.缺乏动态控制的观念
- C.缺乏风险管理的观念
- D.缺乏合同管理的观念
- E.缺乏进度计划多方案比较和选优的观念
-
施工项目经理在承担工程项目施工管理过程中,应履行的职责有( )。
- A.确保项目建设资金的落实到位
- B.建立质量、成本、进度管理体系
- C.主持工程竣工验收
- D.主持编制项目管理实施规划
- E.接受审计
-
月度施工计划应反映这个月度中将进行的主要施工作业的( )等内容。
- A.实物工程量
- B.所需施工机械数最
- C.设计图纸交付
- D.质量验收与技术复核时间
- E.持续时间
-
网络计划中工作之间的先后关系称为逻辑关系,它包括( )。
- A.工艺关系
- B.组织关系
- C.技术关系
- D.控制关系
- E.搭接关系
-
在编制施工组织设计文件时,为了能对施工活动进行科学部署,应该结合实际情况,全面考虑( )。
- A.合同条件
- B.业主的资金筹措情况
- C.项目的结构特点
- D.项目建成运营后的经济效果
- E.项臼所在地的地质水文情况
-
业主方和项目参与各方都有各自的项目管理任务及其管理职能分工。管理职能由提出问题、筹划、决策、执行、检查等组成。下列选项中,符合管理职能内涵的表达方式的有( )。
- A.明确加快进度的多种可能方案
- B.明确安全生产管理由谁负责
- C.发现实际成本项目超出了预算
- D.执行进度控制计划
- E.从多种方案中选定一个拟执行的方案
-
下列有关工程预付款的说法中,正确的有( )。
- A.工程预付款是承包人预先垫支的工程款
- B.工程预付款是施工准备和所需材料、结构件等流动资金的主要来源
- C.工程预付款又被称作预付备料款
- D.工程预付款预付时间不得迟于约定开工日前7天
- E.工程预付款扣款方式由发包人决定
-
下列材料中,属于材料供货商必须提供《生产许可证》的材料有( )。
- A.钢筋混凝土用热轧带肋钢筋
- B.混凝土输水管
- C.电力电缆
- D.建筑用砂
- E.卵石
-
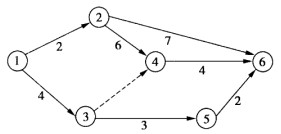
已知某基础工程的双代号网络计划如下,其表达的正确信息有( )。

- A.该计划的计算工期为12天
- B.工作4→6最早开始时间为4天
- C.关键线路为1→3→5→6
- D.工作2→6为非关键工作
- E.工作3→4为虚工作
-
下列关于承包商索赔费用的说法正确的是( )。
- A.税金属于间接费
- B.按国际惯例,一般承包商可索赔的具体费用包括直接费、间接费、分包费、总部管理费和利润
- C.按国际惯例,一般承包商可索赔的具体费用包括直接费、间接费、利润和税金
- D.管理人员工资属于人工费
- E.职工福利费属于总部管理费
-
施工义件档案的档号由( )组成。
- A.档案馆代号
- B.分类号
- C.案卷号
- D.项目号
- E.序号
-
二次搬运费是指因施工场地狭小等特殊情况而发生的二次搬运费用。计算二次搬运费费率需要确定的内容有( )。
- A.年工作台班数
- B.年平均二次搬运费开支额
- C.全年建安产值
- D.直接工程费占总造价的比例
- E.直接工程中的人工费合计
-
在双代号网络图绘制过程中,要遵循一定的规则和要求。下列表述正确的是( )。
- A.一项工作应当对应唯一的一条箭线和相应的一个节点
- B.箭尾节点的编号应小于其箭头节点的编号,即i<j
- C.节点编号可不连续,但不允许重复
- D.无时间坐标的双代号网络图的箭线长度原则上可以任意画
- E.一张双代号网络图中必定有一条以上的虚工作
-
在制定多种风险管理方法和措施时,无论采用何种风险管理方法,都应当符合的要求有( )。
- A.公众利益
- B.人身安全
- C.环境保护
- D.相关法规
- E.盈利水平
-
修正的总费用法修正的内容有( )。
- A.将计算索赔的时段局限于受到外界影响的时间
- B.将计算索赔的时段局限于整个施工期
- C.只计算受影响时段内的某项工作所受影响的损失
- D.与工作无关的费用不列入总费用中
- E.对投标报价费用重新进行核算
-
由不同项目参与方的计划构成的进度计划系统包括( )。
- A.业主方编制的整个项目实施的进度计划
- B.设计进度计划
- C.施工和设备安装进度计划
- D.采购和供货进度计划
- E.建设方编制的整个项目实施的进度计划
-
下列关于项目目标动态控制的表述中,正确的有( )。
- A.项目目标动态控制是项目管理最基本的方法沦
- B.项目目标动态控制有利于项目目标的实现
- C.项目目标动态控制应重视事前的主动控制
- D.项目目标动态控制的准备工作是将项目目标进行分解
- E.当计划值与实际值产生偏差时调整项目的目标
-
在盛兴化工厂的项目管理规划中,明确了各项工作流程。其中,属于管理工作流程的有( )。
- A.成本控制流程
- B.采购工作流程
- C.施工作业流程
- D.质量控制流程
- E.工程变更工作流程
-
用比较法进行施工成本分析时,通常采用的比较形式包括( )。
- A.实际指标与目标指标对比
- B.实际指标与预测指标对比
- C.本期实际指标与上期实际指标对比
- D.本期实际指标与本期预测指标对比
- E.与本行业平均水平、先进水平对比
-
如果将按子项目分解项目总施工成本与按施工成本构成分解项目总施工成本两种方法相结合,有助于( )。
- A.既能方便地表示时间,又能表示出施工成本支出计划
- B.检查各分部分项工程施工成本构成是否完整
- C.横向按施工成本构成分解,纵向按项目分解
- D.检查各项具体的施工成本支出对象是否明确或落实
- E.从数字上校核分解的结果有无错误
-
通常施工总承包合同在开工前就有较明确的( )。
- A.单价
- B.合同价
- C.决算价
- D.总造价
-
下列选项中,属于施工总承包方管理任务的有( )。
- A.负责整个工程的施工安全
- B.控制施工的成本
- C.为分包施工单位提供和创造必要的施工条件
- D.负责整个工程的投资控制
- E.负责施工资源的供应组织
-
关于施工平行承发包的应用,下列说法错误的是( )。
- A.对施工任务的平行发包,发包方不能根据建设项目的结构进行分解发包
- B.对施工任务的平行发包,发包方可以根据建设项目的结构进行分解发包
- C.对施工任务的平行发包,发包方可以根据建设项目施工的不同专业系统进行分解发包
- D.最后一份合同签订后,业主才知道整个工程的总造价
-
某施工机械的预算价格为120万元,规定的耐用总台班数为2650台班,残值率为5%,则该设备的台班折旧费为( )元/台班。
- A.320
- B.430
- C.450
- D.510
-
施工中某工序需要实施旁站监理,施工单位从书面通知监理单位现场监理部的时间算起,到该工序开始施工之间的时间间隔至少应为( )小时。
- A.12
- B.24
- C.36
- D.48
-
焚烧、热解、焙烧、烧结等属于固体废物处理的( )。
- A.物理处理
- B.生物处理
- C.固化处理
- D.热处理
-
在工程项目施工前,工程监理单位应当审查施工单位所提交的施工组织设计中的安全技术措施或者专项施工方案是否符合( )。
- A.工程建设设计文件
- B.工程建设技术规程
- C.工程建设施工合同
- D.工程建设强制性标准
-
某施工企业项目经理在组织现场施工中,为了赶工期,违反了施工安全管理条例的有关规定,出现了安全事故,造成2人死亡,则政府主管部门主要追究该项目经理的( )。
- A.法律责任
- B.行政责任
- C.经济责任
- D.管理责任
-
下列各项不属于环境保护主要内容的是( )。
- A.保护有特殊价值的自然环境
- B.防止由建设和开发活动引起的环境破坏
- C.预防和治理由生产和生活活动所引起的环境污染
- D.保护有特殊价值的社会环境
-
存在于以中心事物为主体的外部周边事物的客体称为环境。在环境科学领域里的中心事物是( )。
- A.自然环境
- B.人类社会
- C.社会环境
- D.生态环境
-
在项目实施过程中,为对工程进度目标进行动态跟踪和控制,在按照进度控制的要求,收集施工进度实际值之后应做的工作是( )。
- A.采取措施进行纠偏
- B.比较工程进度的计划值和实际值
- C.调整工程进度目标
- D.逐层分解工程进度目标
-
下列各项不属于施工安全检查方式的是( )。
- A.定期和不定期安全检查
- B.专业性安全检查
- C.季节性安全检查
- D.政府部门检查
-
下列关于施工安全管理目标策划的内容中,不需要达到100%的是( )。
- A.特种作业人员持证上岗率
- B.操作人员三级安全教育率
- C.安全生产达标优良率
- D.扬尘、噪声、职业危害作业点合格率
-
下列选项中,属于施工组织总设计编制依据的是( )。
- A.建设工程监理合同
- B.批复的可行性研究报告
- C.各项资源需求量计划
- D.单位工程施工组织设计
-
施工过程中对危险因素的分析不包括( )。
- A.新工艺防护
- B.安全防护工作
- C.关键特殊工序防护
- D.特殊工种防护
-
施工组织设计的内容应当包括工程概况、施工部署及施工方案、施工进度计划、施工平面图,以及( )。
- A.技术措施
- B.主要技术经济指标
- C.组织措施
- D.主要管理措施
-
在某纺织职业技术学校新区建设中,总承包商的项目经理在开工前组织有关人员对项目结构进行了逐层分解。这项工作所采用的组织工具应是( )。
- A.项目组织结构图
- B.项目结构图
- C.工作流程图
- D.合同结构图
-
施工安全投入保证体系是确保施工安全应有与其要求相适应的人力、物力和财力投入,并发挥其投入效果的保证体系。其中,可以在施工安全组织保证体系中解决的是( )。
- A.人力
- B.财力
- C.物力
- D.人力和物力
-
在某地铁建设项目中,总承包商选择了矩阵式组织结构模式,使得一些项目成员不得不接受来自纵向和横向两个部门的指令。其中发出横向“指令的"工作部门可以是( )。
- A.项目经理办公室
- B.采购管理部
- C.各子项目管理部
- D.预算管理部
-
建设单位应将施工、设计、监理、建设方分别签字的质量验收证明在验收后( )天内报监督机构备案。
- A.3
- B.5
- C.7
- D.10
-
某大学作为项目业主通过公开招标的方式选择星源建筑公司作为该学校体育馆项目的施工方,那么星源建筑公司的项目管理目标包括( )。
- A.工期、质量、成本目标
- B.设计目标
- C.投资目标
- D.利润最大化
-
应重新绘制竣工图的情况是,涉及结构形式、工艺、平面布置、项目等重大改变及图面变更面积超过( )。
- A.20%
- B.30%
- C.35%
- D.40%
-
根据《标准施工招标文件》中“通用合同条款”的规定,质量保证金的计算额度应包括( )。
- A.预付款的支付
- B.承包人完成的安装工程款
- C.价格调整的金额
- D.预付款的扣回
-
某工程在施工过程中发生事故,并造成毗邻财产受损,承包人随即组织人员清理现场,判断这一行为的合理性,关键在于它是否已经( )。
- A.得到了行政主管部门的批准
- B.得到了毗邻财产损失者的同意
- C.根据发包人的指令处理
- D.按规定保护了事故现场
-
关于施工项目竣工验收的规定,下列表述正确的是( )。
- A.施工单位应当在工程竣工验收7个工作日前书面通知监督站
- B.在工程竣工验收会议上,由建设单位汇报合同履行情况
- C.当参与项目建设各方面不能形成一致意见时,由监理工程师决定验收结论
- D.正式验收完成后,验收委员会应形成《竣工验收鉴定证书》,对验收做出结论
-
下列施工质量控制点中,从关键操作与施工方法的角度进行重点控制的是( )。
- A.液压滑模施工时支承杆稳定控制
- B.混凝土的外加剂掺量控制
- C.抹灰层干燥后才能刷浆
- D.砌体的砂浆饱满度控制
-
施工总承包管理模式下,施工总承包管理单位( )。
- A.承担主体工程施工
- B.承担所有工程施工
- C.一般不参与具体工程的施工
- D.承担半数以上单位工程的施工
-
下列各项中,材料的取样方法不正确的是( )。
- A.热轧钢筋按同牌号、同炉罐号、同规格、同交货状态,重量不大于60t的钢筋为一个检验批。从每批钢筋中抽取5%进行外观检查
- B.热轧钢筋力学性能试验从每批钢筋中任选两根钢筋,每根取两个试样分别进行拉伸试验和冷弯试验
- C.钢筋闪光对焊连接以在同一班内,由同一焊工,按同一焊接参数完成的200个同类型接头作为一批。外观检查,每批抽查10%的接头,并不得少于10个
- D.钢筋闪光对焊连接力学性能试验包括拉伸试验和弯曲试验,应从每批成品中切取6个试样,分别进行拉伸试验和冷弯试验
-
施工现场搅拌机前台、混凝土输送泵及运输车辆清洗等产生的废水应( )。
- A.根据施工方便就近排放
- B.直接排入市政排水管网或河流
- C.直接排出场外
- D.通过现场沉淀池后排入市政排水管网
-
通过实测数据与施工规范、质量标准的要求及允许偏差值进行对照,以此判断质量是否符合要求,这一现场质量检查方法属于( )。
- A.目测法
- B.试验法
- C.实测法
- D.无损检测法
-
根据国家《生产安全事故报告和调查处理条例》的规定,施工项目经理部对生产安全事故应采取的处理程序是( )。
- A.报告安全事故,安全事故现场处理,安全事故调查,编写报告并上报
- B.报告安全事故,安全事故分析记录,安全事故登记,编写报告并上报
- C.报告安全事故,安全事故处理,安全事故登记,安全事故调查,编写报告并上报
- D.报告安全事故,安全事故处理,安全事故登记,安全事故分析记录
-
按照施工现场安全防护布置的有关规定,楼梯边设置的防护栏杆的高度为( )m。
- A.0.8
- B.1.0
- C.1.1
- D.1.2
-
将相互关联的过程作为系统加以识别、理解和管理,有助于组织提高实现目标的有效性和效率。这是GB/T 19001--2000质量管理体系标准中质量管理体系的( )原则。
- A.过程方法
- B.基于事实的决策方法
- C.持续改进
- D.管理的系统方法
-
施工质量的终检存在一定局限性,主要是因为( )。
- A.工程形体庞大
- B.施工过程具有流动性
- C.建筑产品具有单件性
- D.不能通过解体来检查内在质量
-
在施工过程中,如果发生了设计变更,原安全技术措施( )。
- A.无需变更
- B.可在施工后进行变更
- C.必须及时变更
- D.可在施工中灵活变更
-
建设工程项目的信息管理是通过对各个系统、各项工作和各种数据的管理,使项目的( )能方便和有效地获取、存储、存档、处理和交流。
- A.成本
- B.图纸
- C.信息
- D.数据
-
建设工程项目生产具有流动性的特点,这是由项目的( )特点所决定的。
- A.一次性
- B.复杂性
- C.固定性
- D.预约性
-
施工安全信息保证体系的工作内容包括: ①信息收集; ②确保信息工作条件; ③信息处理; ④信息服务。 正确的工作顺序是( )。
- A.①②③④
- B.④②①③
- C.②①④③
- D.②①③④
-
某事故经调查发现,是由于施工单位在施工过程中未严格执行材料检验程序,使用了不合格的钢结构构件造成的。按照事故产生的原因划分,该质量事故应判定为( )。
- A.社会原因引发的事故
- B.经济原因引发的事故
- C.技术原因引发的事故
- D.管理原因引发的事故
-
对于不同的承包合同计价形式,工程招标时对设计深度要求也不一样,成本加酬金合同( )进行招标。
- A.只能在方案设计阶段
- B.只能在初步设计阶段
- C.只能在施工图设计阶段
- D.可以在设计的各个阶段
-
按照我国《建筑工程施工质量验收统一标准》(GB 50300--2001),检验批质量验收合格的规定之一是( )。
- A.检验批验收合格说明工程竣工验收合格
- B.检验批合格的标准是主控项目检验合格
- C.主控项目是对检验批的基本质量起决定性影响的检验项目
- D.检验批验收必须要检查相关资料的合格性
-
最迟完成时间是指( )。
- A.在各项紧前的工作全部完成后,工作有可能开始的最早时刻
- B.在各项紧前的工作全部完成后,工作有可能完成的最早时刻
- C.在不影响整个任务按期完成的前提下,工作必须开始的最迟时刻
- D.在不影响整个任务按期完成的前提下,工作必须完成的最迟时刻
-
设计单位在设计前拟采用无损试验测试既有建筑结构混凝土强度情况,常用的无损试验是( )。
- A.冷拉试验
- B.混凝土试块坍落度试验
- C.混凝土试块抗压试验
- D.超声波探伤
-
近年来建筑业兴起了好多新的网络计划技术,其中,以节点表示工作的网络计划是( )。
- A.双代号网络计划
- B.单代号网络计划
- C.双代号时标网络计划
- D.单代号搭接网络计划
-
质量计划应根据( )来编制。
- A.企业质量手册和项目质量目标
- B.企业质量目标和质量记录
- C.PDCA循环
- D.质量管理体系的认证结论
-
以下设备中,直接影响到工程项目使用功能的发挥的是( )。
- A.电梯
- B.运输设备
- C.吊装设备
- D.计量器具
-
关于控制性施工进度计划的主要作用,下列表述错误的是( )。
- A.是编制与该项目相关的其他各种进度计划的依据或参考依据
- B.是编制实施性进度计划的依据
- C.论证施工总进度目标
- D.施工各层目标的确定,明确里程碑事件的进度目标
-
按照建设工程项目总进度目标论证的工作步骤,在调查研究和收集资料后应进行的步骤是( )。
- A.进行项目结构分析
- B.确定项目工作编码
- C.编制各层进度计划
- D.进行进度计划系统的结构分析
-
施工企业的施工生产计划与建设工程项目施工进度计划的区别是( )。
- A.两者没有区别,但两者紧密相关
- B.前者有一个自下而上的协调过程而后者无
- C.后者有自上而下的协调过程而前者无
- D.后者有一个自下而上和自上而下的往复多次的协调过程而前者无
-
根据组织论的原理,为实现项目的进度目标,施工方应充分重视( )。
- A.技术创新
- B.健全项目管理的组织体系
- C.工程网络计划方法的使用
- D.工程进度风险分析
-
难以直接用于定量分析,只能对定量分析起一定指导作用的成本偏差分析方法是( )。
- A.曲线法
- B.横道图法
- C.表格法
- D.折线法
-
已知某工作的持续时间为4天,最早开始时间为7天,总时差2天,则该工作的最迟完成时间为( )天。
- A.4
- B.9
- C.11
- D.13
-
某工程单代号网络计划如下图所示,其关键线路为( )。

- A.1→2→4→6
- B.1→3→4→6
- C.1→3→5→6
- D.1→2→5→6
-
某工程项目发包人与承包人签订了施工合同,承包人与分包人签订了专业工程分包合同,在分包合同履行过程中,分包人的正确做法是( )。
- A.未经承包人允许,分包人不得以任何理由与发包人或工程师发生直接工作联系
- B.分包人可以直接致函发包人或工程师
- C.分包人可以直接接受发包人或工程师的指令
- D.分包人无须接受承包人转发的发包人或工程师与分包工程有关的指令
-
某承包商承接了相邻两栋高层住宅楼的施工,这两栋楼之间由于资源(人力、材料、机械设备和资金等)调配需要而规定的先后顺序关系称为( )。
- A.组织关系
- B.工艺关系
- C.搭接关系
- D.沟通关系
-
施工项目经理部在施工过程中编制的月度施工计划和旬施工作业计划,都属于( )。
- A.控制性施工进度计划
- B.指导性施工进度计划
- C.实施性施工进度计划
- D.综合性施工进度计划
-
将项目总施工成本分解到单项工程和单位工程中,再进一步分解为分部工程和分项工程,该种施工成本计划的编制方式是( )编制施工成本计划。
- A.按施工成本组成
- B.按项目组成
- C.按工程进度
- D.按合同结构
-
编制施工成本控制工作计划、确定合理详细的工作流程是( )的内容之一。
- A.合同措施
- B.经济措施
- C.技术措施
- D.组织措施
-
某混凝土工程,采用以直接费为计算基础的全费用综合单价计价,直接费为400元/m3,间接费费率为13%,利润率为10%,综合计税系数为3.41%。施工过程中,设计单位提出了一项工程变更,业主认为该变更使混凝土分项工程量大幅增加,已超出了合同约定的幅度,须执行新的综合单价。经与承包商协商,间接费和利润调整系数分别定为0.9和0.8。则该混凝土工程超出合同约定幅度部分的新的全费用综合单价为( )元/m3。
- A.437
- B.440
- C.452
- D.499
-
某施工合同约定钢材由业主提供,其余材料均委托承包商采购。但承包商在以自有机械设备进行主体钢结构制作吊装过程中,由于业主供应钢材不及时导致承包商停工7天。则承包商计算施工机械窝工费向业主提出索赔时应按( )。
- A.设备台班费
- B.设备台班折旧费
- C.设备使用费
- D.设备租赁费
-
在国际上,把工程监理类服务归为( )服务。
- A.工程咨询
- B.工程造价
- C.工程建造
- D.工程规划
-
下列属于累计成本偏差的是( )。
- A.月度核算成本偏差
- B.分部分项作业成本偏差
- C.已完工程在某一时间点上实际总成本与相应的计划总成本的差异
- D.专业核算成本偏差
-
某基础工程包含土石方和混凝土两个子项工程,工程量清单中的土石方工程量为4400m3,混凝土工程量为2000m3,合同约定:土石方工程综合单价为75元/m3,混凝土工程综合单价为420元/m3;工程预付款额度为合同价的15%。则该工程预付款额度为( )。
- A.17.10万元
- B.17.55万元
- C.20.25万
- D.20.70万元
-
建设工程项目目标的动态控制中,通过编制( )来进行施工成本目标的分解。
- A.施工成本报告
- B.可行性研究报告
- C.施工成本规划
- D.施工成本预算报告
-
宏达公司负责某工程的施工任务,编制了施工成本计划。其中主体混凝土工程量约3200m3,预算单价550元/m3,计划4个月内均衡完成。开工后,混凝土实际采购价格为560元/m3。施工至第二个月底,实际完成混凝土工程量1800m3。运用赢得值法,分析得到第二个月底的进度偏差SV为( )万元。
- A.-1.8
- B.1.8
- C.-11
- D.11
-
某打桩工程合同约定,第一个月计划完成工程桩120根,单价为1.2万元/根。至第一个月底,经确认的承包商实际完成的工程桩为110根,实际单价为1.3万元/根。则在第一个月度内,该打桩工程的计划工作预算费用(BCWS)为( )万元。
- A.132
- B.143
- C.144
- D.156
-
施工进度目标的逐层分解是从( ),逐步地由宏观到微观,由粗到细编制深度不同的进度计划的过程。
- A.施工开始前和施工验收后
- B.施工开始前和施工结束后
- C.施工过程中
- D.施工开始前和施工过程中
-
项目结构分解并没有统一的模式,但应结合项目的特点并考虑( )。
- A.项目平面图
- B.人力资源管理
- C.有利于项目目标的控制
- D.信息管理
-
将项目总施工成本分解到单项工程和单位工程中,再进一步分解为分部工程和分项工程,该种施工成本计划的编制方式属于( )。
- A.按施工成本组成编制
- B.按子项目组成编制
- C.按工程进度编制
- D.按合同结构编制
-
已知某挖土机挖土的一个工作循环需2分钟,每循环一次挖土0.5m3,工作班的延续时间为8小时,时间利用系数K=0.85,则该机械的产量定额为( )m3/台班。
- A.12.8
- B.15
- C.102
- D.120
-
设计的成本目标、设计的进度目标和设计的质量目标,以及项目的投资目标是市设计院的( )所包含的内容。
- A.项目管理
- B.项目建设
- C.项目投资
- D.项目决策

