注册结构工程师(一级基础考试-上午)全真模拟试卷2
-
某设备原值10500元,折旧期6年,6年末残值500元,则采用年数总和法计算的第一年折旧费为( )元。
- A.2380
- B.2857
- C.5262
- D.7546
-
某运输设备原值为90000元,规定折旧年限为8年,预计月平均行驶里程为5000 km,预计净残值率为4%,某月实际行驶里程为6000km,按工作量折旧法,该设备月折旧额为 ( )。
- A.1020元
- B.1800元
- C.1080元
- D.1200元
-
关于偿债备付率,下列说法正确的是( )。
- A.借款偿还期内,各年可用于还本付息资金与当期应付本金的比值
- B.借款偿还期内,各年可用于付息资金与当期应付利息的比值
- C.在正常情况下,偿债备付率应小于1
- D.借款偿还期内,各年可用于还本付息资金与当期应付息金额的比值
-
对流动资金的叙述,下列说法错误的是( )。
- A.流动资金一般在投产前开始筹措
- B.流动资金利息不应计人财务费用
- C.流动资金估算一般是参照现有同类企业的状况采用分项详细估算法,个别情况或者小型项目可采用扩大指标法
- D.流动资金是指生产经营项目投产后,为进行正常生产运营,用于购买原材料燃料、支付工资及其他经营费用等所需的周转资金
-
某投资项目初始投资额为10万元,在寿命期5年内,每年净收益(收入减不含投资的支出)为3万元,若基准折现率为10%,则该项目的净现值是( )。(保留2位小数)

- A.1.37万元
- B.3.07万元
- C.-0.49万元
- D.-7.27万元
-
有关建设项目财务评价指标体系,叙述不正确的是( )。
- A.根据建设项目财务评价指标体系是否考虑资金时间价值,可分为静态评价指标和动态评价指标
- B.项目的财务评价指标是唯一的
- C.财务评价效果的好坏,一方面取决于基础数据的可靠性,另一方面则取决于选取的评价指标体系的合理性
- D.按评价内容的不同,可分为盈利能力分析指标和偿债能力分析指标
-
某企业预计今年销售收入可达8 000万元,总成本费用为8 200万元,则该企业今年可以不缴纳( )。
- A.企业所得税和销售税金
- B.销售税金
- C.所得税
- D.固定资产投资方向调节税
-
某项目当利率为14%时,净现值为49.78万元;当利率为16%时,净现值为-70.05万元,则项目的财务内部收益率IRR应为( )。
- A.15.68%
- B.14.65%
- C.15.78%
- D.14.83%
-
某人将10 000元用于投资,年报酬率为8%。投资第三年年末,可得本利和为( )元。
- A.12 597
- B.21 597
- C.95 217
- D.59 127
-
某公司发行优先股股票,票面额按正常市价计算为200万元,筹资费率为4%,股息年利率为14%,则其资金成本率为( )。
- A.15.48%
- B.18.54%
- C.14.58%
- D.15.84%
-
当电容极板上电量q或电压uc发生变化时,在与电容极板相联的电路中要引起电流,电容元件中通过的电流ic与其两端电压uc间的关系式ic=( )。
- A.Cuc
- B.uc/C
- C.

- D.C∫ucdt
-
在下图所示放大电路中,为使集电极电流Ic有明显的增加,应该( )。

- A.减小Rc
- B.加大Rc
- C.减小RB
- D.加大RB
-
当穿过闭合的导线回路所包围面积的磁通量发生变化时,在回路中就会有感应电流,此感应电流的方向( )。
- A.总是使它自己的磁场穿过回路面积的磁通量,去促使引起感应电流的磁通量的改变
- B.总是使它自己的磁场穿过回路面积的磁通量,去抵偿引起感应电流的磁通量的改变
- C.与引起感应电流的磁通量无关
- D.无法确定
-
在放大电路中,测得某三极管的E、B、C三个电极对地,电位分别为2 V、2.3 V、7 V,则这个三极管是( )。
- A.饱和状态的NPN型锗管
- B.饱和状态的PNP型硅管
- C.放大状态的PNP型硅管
- D.放大状态的NPN型锗管
-
在全波整流、电容滤波电路中,已知变压器副边电压U2=10V,则负载电阻两端的输出电压U0是( )V。
- A.4
- B.8
- C.12
- D.16
-
在下图电路中,当t=0时开关S断开,则t=1 s时的电流i为( )A。

- A.8.63
- B.6.38
- C.3.68
- D.4.68
-
在下图电路中,开关S接通a端,电路已经稳定。已知Us=100V,R1=3 kΩ,R2=20 kΩ, R3=2 kΩ,L=1 H,t=0时开关S接通b端,则电阻R2的电压初始值U(0)为( )。

- A.-100 V
- B.100 V
- C.-400 V
- D.400V
-
下图所示正弦交流电路a、b两端的等效复阻抗大小为( )。

- A.7Ω
- B.8Ω
- C.9Ω
- D.10Ω
-
下图电路中电流源两端的电压U为( )。

- A.-3 V
- B.3 V
- C.-4 V
- D.4 V
-
在下图所示电路中,已知R1=R2=5Ω Is=1 A,则a、b两端的Uab为( )。

- A.1.5 V
- B.-1.5 V
- C.2.5 V
- D.-2.5 V
-
程序 READ(*,*)X IF((X.LT.-5.0).OR.(X.EQ.-1.0))THEN Y=0.0 ELSEIF(X.LT.0.0)THEN Y=1.0/(X+1.0) EISEIF(X.LT.5.O)THEN Y=1.0/(X+2.0) ELSE Y=0.0 ENDIF WRITE(*,*)Y END 若输入4.0,则结果为( )。
- A.0.0
- B.1/5
- C.1/6
- D.1/4
-
若一点电荷对放在相距2 cm处的另一点电荷的静电作用力为F1,求当两个点电荷之间的距离增加到6cm时的静电作用力F为( )。
- A.

- B.

- C.

- D.

- A.
-
下图中,已知R1=R2=R3=1Ω,及R4=2Ω,则a,b两端的等效(总)电阻为( )Ω。

- A.1
- B.2
- C.3
- D.4
-
下面程序段的运行结果是( )。 DATA L,M,N/1,10,4/ CALL FAC(L,M) PRINT *,L,M,N N=20 M=25 CALL FAC(L,M) PRINT *,L,M,N END SUBROUTINE FAC(K,M) N=0 DO 1 J=1,N K=K*J, N=N+1 1 CONTINUE END
- A.1 20 4 20 25 20
- B.1 4 10 20 25 20
- C.1 10 4 25 25 25
- D.1 10 4 1 25 20
-
下面程序计算
的值。请将程序补充完整。 IMPLICIT INTECER(A-Z) DATA SUM,I/0,1/ 10 IF I.LE.5 THEN FACT=1 DO 100 K=1,______ FACT=FACT*K 100 CONTINUE SUM=SUN+FACT I=I+1 COTO 10 ENDIF WRITE(*,*)SUM END 答案是( )。- A.2*I+1
- B.I
- C.5
- D.11
-
下面程序段的运行结果是( )。 A=0 B=1 A=A+B B=B+A PRINT *,A,B A=A+B B=B+A PRINT *,A,B END
- A.1.0 2.0 3.0 5.0
- B.1.0 1.0 2.0 2.0
- C.2.0 2.0 3.0 3.0
- D.1.0 2.0 3.0 3.0
-
下面程序段的运行结果是( )。 DIMENSION M(3,3) DATA M/1,2,3,4,5,6,7,8,9/ DO 10 i=1,3 WRITR(*,100)(M(i,J),J=1,i)) 10 CONTINUE 100 FORnIAT(1X,3I2) END
- A.1 2 5 3 6 9
- B.1 2 3 4 5 6 7 8 9
- C.1 4 7 2 5 8 3 6 9
- D.1 2 3 4 5 6
-
当发生突然断电事故时,存储在( )中的信息将会丢失。
- A.RAM和ROM
- B.CPU
- C.ROM
- D.磁带
-
在Windows 98的许多应用程序的“文件”莱单中都有“保存”和“另存为”两个命令,下列说法中正确的是( )。
- A.“保存”命令只能用原文件名存盘,“另存为”不能用原文件名
- B.“保存”命令不能用原文件名存盘,“另存为”只能用原文件名
- C.“保存”命令只能用原文件名存盘,“另存为”也能用原文件名
- D.“保存”和“另存为”命令都能用任意原文件名存盘
-
十进制数(101)10转换为八进制数,下列正确的是( )。
- A.(144)8
- B.(145)8
- C.(142)8
- D.(151)8
-
在下面关于计算机系统硬件的说法中,不正确的是( )。
- A.CPU主要由运算器、控制器和寄存器组成
- B.当关闭计算机电源后,RAM中的程序和数据就消失了
- C.软盘和硬盘上的数据均可由直接存取
- D.软盘和硬盘驱动器既属于输入设备,又属于输出设备
-
一般情况下,都将计算机的一个硬盘分成几个区,如分成两个区时,一个硬盘就变成了C盘和D盘,下列说法正确的是( )。
- A.将硬盘分成两个区后,一个硬盘就变成了两个硬盘
- B.将硬盘分成两个区后,硬盘仅是从逻辑了成了两个盘,物理上仍是一个盘
- C.将硬盘分成两个区后,硬盘仅是从物理上成了两个盘,逻辑上仍是一个盘
- D.以上说法都不对
-
烟气在加热炉回热装置中流动,拟用空气介质进行实验。已知空气黏度v空气=15× 10-6m2/s,烟气黏度v烟气=72×10-6m2/s,实际烟气流速v烟气=2m/s。如若模型长度比,尺λ1=5,则模型空气的流速应为( )。
- A.0.08m/s
- B.0.48m/s
- C.0.52m/s
- D.2.08m/s
-
雷诺数Re的物理意义表示( )。
- A.压力与黏性力之比
- B.黏性力与重力之比
- C.惯性力与黏性力之比
- D.惯性力与重力之比
-
一矩形水力最优断面渠道,底宽b=4m,粗糙系数n=0.025,底坡度i=0.000 2,则输水流量为( )。
- A.1.5 m3/s
- B.2.5 m3/s
- C.3.5 m3/s
- D.4.5 m3/s
-
沿程水头损失hf( )。
- A.与流程长度ι成正比,与壁面切应力τ和水力半径R成反比
- B.与水力半径R成正比,与壁面切应力τ和流程长度ι成反比
- C.与流程长度ι和壁面切应力τ成正比,与水力半径R成反比
- D.与壁面切应力τ成正比,与流程长度ι和水力半径R成反比
-
在层流区、水力光滑区、紊流过渡区、阻力平方区中,如果其他参数都不变,沿程阻力系数受管道直径影响的有( )。
- A.4个区
- B.3个区
- C.2个区
- D.1个区
-
毕托管的测速管与测压管水面高差丸h=0.5m,流速系数甲φ=0.95,所测点流速为( )。

- A.0.5m/s
- B.1.0m/s
- C.1.52m/s
- D.2.97m/s
-
对于圆管紊流粗糙区有( )。
- A.沿程损失系数λ与雷诺数Re有关
- B.沿程损失hf与速度。的一次方成正比
- C.沿程损失系数λ只与相对粗糙度K/d有关
- D.沿程损失系数λ与雷诺数Re和相对粗糙度K/d有关
-
压力表测出的压强是( )。
- A.绝对压强
- B.真空压强
- C.相对压强
- D.实际压强
-
圆管的层流流动,其切应力的分布下列说法正确的是( )。
- A.圆心处切应力为零,随半径成线性分布
- B.圆心处切应力为零,随半径成抛物线分布
- C.管壁处切应力为零,随半径成线性分布
- D.管壁处切应力为零,随半径成抛物线分布
-
空气以平均流速v0=2m/s流人断面积为0.4m×0.4m的送风管,而后经过四个断面积为0.1 m×0.1 m排气孔流出,如若每孔流速相等,则排气孔平均流速为( )
- A.1 m/s
- B.2 m/s
- C.4 m/s
- D.8 m/s
-
流体黏性导致的内摩擦力存在于( )。

- A.静止流体中
- B.运动流体中
- C.流体与固壁之间
- D.有相对运动的流层间
-
如图在封闭水箱中,水深H=2.5 m的点A上安装一压力表,压力表中心点的读数为 9.8kPa,压力表中心点到A点的水深h=0.5m,则水面的绝对压强为( )。
- A.107.8 kPa
- B.88.2kPa
- C.9.8 kPa
- D.18.6kPa
-
单元体的应力状态如图所示,则其三个主应力和最大剪应力为( )。

- A.σ1=80Mpa,σ2=60 Mpa,σ3=0,τσmax=40 MPa
- B.σ1=60 MPa,σ2=0,σ3=-80 MPa,τmax=70 MPa
- C.σ1=-80 MPa,σ2=0,σ3=60 MPa,τmax=-70 MPa
- D.σ1=60 MPa,σ2=-80 MPa,σ3=0,τmax=60 MPa
-
图示四根细长压杆的抗弯刚度EI相同,它们失稳的先后顺序为( )。

- A.(a)、(b)、(c)、(d)
- B.(b)、(c)、(d)、(a)
- C.(c)、(d)、(a)、(b)
- D.(d)、(a)、(b)、(c)
-
受力情况相同的三种等截面梁,它们分别由整块材料、两块材料并列及两块材料叠合(未粘接)组成,如图(a)、(b)、(c)所示。若用(σmax)1、(σmax)2、(σmax)3分别表示这三种梁中横截面上的最大正应力,则下列结论中正确的是( )。

- A.(σmax)1<(σmax)2=(σmax)3
- B.(σmax)1=(σmax)2>(σmax)3
- C.(σmax)1>(σmax)2=(σmax)3
- D.(σmax)1=(σmax)2<(σmax)3
-
如图所示的外伸梁,抗弯刚度为EI,所受荷载见图,则C端的挠度和转角为( )。

- A.

- B.

- C.

- D.

- A.
-
图示四种应力状态中属于单向应力状态的是( )
- A.

- B.

- C.

- D.

- A.
-
连续梁两种受力情况如图所示,力F非常靠近中间铰链。则下面四项中正确结论为 ( )。

- A.两者的Q图和M图完全相同
- B.两者的Q图相同,M图不同
- C.两者的Q图不同,M图相同
- D.两者的Q图和M图均不相同
-
如图所示(a)、(b)两根梁,它们的( )。

- A.Q、M图都相同
- B.Q、M图都不相同
- C.Q图相同,M图不同
- D.M图相同,Q图不同
-
钢杆1、2、3的拉压刚度均为EA,长为ι,若杆3在制造时短了δ,则正确的变形协调条件为 ( )。

- A.δ=δ1+2δ2+δ3
- B.δ=δ1+δ2+δ3
- C.δ=δ1+2δ2-δ3
- D.δ=2δ1+δ2+δ3
-

- A.

- B.

- C.

- D.

- A.
-

- A.

- B.

- C.

- D.

- A.
-
图所示之结构中,刚性梁ABC由材料相同且横截面积相等的三根立柱支撑着,各部分尺寸均示于图中。今在刚性梁上加一垂直力Fp=20 kN。要使刚性梁保持水平位置时,则加力点的位置x为( )。

- A.0.515m
- B.0.615m
- C.0.65m
- D.0.70m
-
两根圆轴A、B,其中轴A的直径为d,轴B的直径为2d。现两轴承受相同扭矩的作用,则两轴横截面上的最大剪应力之比(τA,max):(τB,max)是( )。
- A.2:1
- B.4:1
- C.8:1
- D.16:1
-
如图所示的等直杆横截面积为A,弹性模量为E,则D点的位移为( )。

- A.

- B.

- C.

- D.

- A.
-
如图所示之结构中BC和AC都是圆截面直杆,直径均为d=20mm,材料都是Q235钢,其许用应力[σ]=160 pa,则该结构的许可载荷为( )。

- A.34.34 kN
- B.50 kN
- C.68.67 kN
- D.70 kN
-
平行杆系1、2、3悬吊着刚性横梁AB如图所示。在横梁上作用着荷载G。如杆1、2、3的截面积、长度、弹性模量均相同,分别为A、L、E。试求三根杆的轴力N1、N2、N3,为( )。

- A.G、0、0
- B.0、0、G
- C.

- D.

-
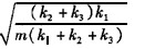
已知图中所示的三根弹簧的劲度系数分别为K1,K2,K3,振体的质量为m,则此系统沿铅垂方向振动的固有频率为( )。

- A.

- B.

- C.

- D.

- A.
-
设三个物块用绳相连,如图所示,其质量分别为m1=2m2=4m3,此系统的动能为( )。

- A.

- B.

- C.

- D.

- A.
-
质量为M,长为ι的均质细长杆置于相互垂直的水平和铅垂面上,如图所示,若已知A端的速度v,水平指向右边,则AB杆在图示位置的动量为( )。

- A.

- B.

- C.

- D.

- A.
-
一动点在圆盘内运动,同时圆盘又绕x轴以角速度ω转动,如图所示,若AB//Ox,CD⊥ Ox,则欲使动点的科氏加速度恒等于零,动点的运动须沿( )。

- A.直线CD或x轴
- B.直线CD或AB
- C.直线AB或x轴
- D.圆周
-
列车沿半径为R=800 m的圆弧轨道作匀加速运动,如图所示。若初速度为零,经过2 min后,速度达到54 km/h,则在末点的全加速度为( )。

- A.0.102m/s2
- B.0.125m/s2
- C.0.281m/s2
- D.0.308m/s2
-
点作直线运动,已知运动方程s=5t-2.5t2(m,s),t=2s时点走过的路程为( )。
- A.1.25 m
- B.2.5 m
- C.5 m
- D.6.25 m
-
如图所示平面桁架,各杆件的长度都等于1m。在节点E上作用载荷P1=10 kN,在节点G上作用载荷P2=7 kN。则杆1、2和3的内力分别为( )。

- A.F1=5.2 kN,F2=0.55 kN,F3=4.77 kN
- B.F1=5.2 kN,F2=1.15 kN,F3=9.81 kN
- C.F1=-10.4 kN,F2=1.15 kN,F3=9.81 kN
- D.F1=10.4 kN,F2=1.15 kN,F3=-9.81 kN
-
如图所示,物块重W=70 kN,作用力T=20kN,A、B间的摩擦系数μ4=0.3,物块A所受的摩擦力为( )。

- A.F=17.32 kN
- B.F=18 kN
- C.F=20 kN
- D.F=25 kN
-
一铰盘有三个等长的柄,柄的长度为ι,三个柄均在水平面上,其间夹角都是120°。如在水平面内每个柄端分别作用一垂直于柄的F1,F2,F3,且有F1=F3=F2=F,该力系向O简化后主矢R′及主矩M0应为( )。

- A.

- B.R′=0,M0=3Fl
- C.

- D.R′=2F,R′水平向左,M0=3Fl
- A.
-
某平面任意力系向作用面内任一点简化,得主矢、主矩均不为零,则其简化的最后结果为 ( )。
- A.一力偶
- B.一合力
- C.平衡
- D.不能确定
-
F1,F2共线,方向相反,且F1=-2F2,则其合力R表示为( )。
- A.R=F1-F2
- B.R=F2-F1
- C.R=F1=F2
- D.R=F1+F2
-
三铰拱上作用有力P、Q和力偶矩为m的力偶M,若不改变力偶矩的大小和转向,将力偶平移到BC上(如虚线所示),则三铰拱A、B、C处的约束反力为( )。

- A.都不变
- B.只有C处不变
- C.都改变
- D.只能C处改变
-
已知柠檬醛的结构简式为
下列说法不正确的是( )。- A.可使KMnO(政权示)4溶液褪色
- B.它可与银氨溶液发生银镜反应
- C.它可使溴水褪色
- D.它在催化剂的作用下加氢,最后产物的分子式是C10H20O
-
图示结构受一水平力P的作用,铰支座A的反力RA的作用线应该是( )

- A.RA沿水平线
- B.RA沿铅垂线
- C.RA沿AB连线
- D.无法判断
-
下列物质中,既能发生消去反应,又能发生取代反应的是( )。
- A.乙醇
- B.苯酚
- C.乙酸
- D.乙烷
-
用杂化理论推测,分子的空间构型为平面三角形的是( )。
- A.NF3
- B.BF3
- C.AsH3
- D.SbH3
-
BF3分子中,成键时中心原子B采用( )。
- A.sp3杂化
- B.sp杂化
- C.sp2杂化
- D.sp3不等性杂化
-
用铜电极电解CuCl2水溶液时,其阳极的电极反应主要是( )。
- A.

- B.2Cl--2e→Cl2
- C.2H++2e→H2
- D.Cu-2e→Cu2+
- A.
-
Pz波函数角度分布的形状是( )。
- A.双球形
- B.球形
- C.四瓣梅花形
- D.橄榄形
-
HAc水溶液中存在的物种有( )。
- A.HAc
- B.HAc,H2O,H+,Ac-,OH-
- C.HAc,H2O
- D.H2O,HAc,H+,Ac-
-
按照酸碱质子理论,下列物质中既可作为酸,又可作为碱的是( )。
- A.[Al(OH2)6]3
- B.[Cr(OH2)6]3+
- C.[Fe(OH2)4(OH)2]+
- D.PO43-
-
下列电对中,
值最大者为( )。- A.

- B.

- C.

- D.

- A.
-
热力学标态下进行的气相化学反应是指恒温时( )。
- A.各反应物、各产物的浓度都是1 mol·kg-1
- B.各反应物、各产物的分压都是100kPa
- C.反应物和产物的总浓度为1 mol·ks-1
- D.反应物和产物的总压为100 kPa
-
在298 K时,反应
在密闭容器中反应达到平衡,若加人情性气体,估计哙出现( )。- A.平衡右移,氨产量增加
- B.平衡左移,氨产量减少
- C.平衡状态不变
- D.正反应速率加快
-
机械波波动方程为y=0.03cos6π(t+0.01x)(SI),则( )。
- A.其振幅为3 m
- B.其周期为1/3s
- C.其波速为10 m/s
- D.波沿x轴正向传播
-
一般说,温度升高反应速率明显增加,主要原因是( )。
- A.分子碰撞机会增加
- B.反应物压力增加
- C.活化分子的百分率增加
- D.反应的活化能降低
-
在如图所示的单缝夫琅和费衍射装置中,将单缝宽度a稍微变宽,同时使单缝沿y轴正方向作微小位移,则屏幕C上的中央衍射条纹将( )。

- A.变宽,同时向上移
- B.变窄,同时向下移
- C.变窄,不移动
- D.变宽,不移动
-
波长λ=550 nm的单色光垂直入射于光栅常数d=2×10-4cm的平面衍射光栅上,可能观察到的光谱线的最大级次为( )。
- A.2
- B.3
- C.4
- D.5
-
平行放置两偏振片,使它们的偏振化方向成60°的夹角。如果两偏振片对光振动平行于其偏振化方向的光线均无吸收,则让自然光垂直入射后,其透射光强与入射光强之比是( )。
- A.1/8
- B.1/4
- C.1/2
- D.1/16
-
设双缝实验中使用的入射光波波长为λ,双缝至屏幕的距离为D,在一个缝后放一折射率为n、厚度为t的透明薄膜,此时中央仍为一明条纹。则中央条纹的级次k的值为( )。
- A.

- B.

- C.

- D.

- A.
-
一束光强为I0的自然光垂直穿过两个偏振片,且此两偏振片的偏振化方向成45°角,若不考虑偏振片的反射和吸收,则穿过两个偏振片后的光强I为( )。
- A.

- B.I0/4
- C.I0/2
- D.

- A.
-
一平面简谐波的方程为y=Acos(Bt-Cx),式中A、B、C为正值恒量,则( )。
- A.

- B.

- C.

- D.

- A.
-
一平面简谐波的波动方程为
表示( )。- A.x处质点比原点振动落后的一段时间
- B.波源质点振动位相
- C.x处质点振动位相
- D.x处质点振动初位相
-
在玻璃(折射率n3=1.60)表面镀一层MgF2(折射率n1=1.38)薄膜作为增透膜。为使波长为500nm的光从空气(折射率n1=1.00)正入射时尽可能少反射,MgF(下标02薄膜的最小厚度应是( )。
- A.125nm
- B.181 nm
- C.250nm
- D.90.6 nm
-
设高温热源的热力学温度是低温热源的热力学温度的n倍,则理想气体在一次卡诺循环中,传给低温热源的热量是从高温热源吸取的热量的( )。
- A.n倍
- B.n-1倍
- C.1/n倍
- D.

-
一定量的理想气体,在温度不变的条件下,当压强降低时,分子的平均碰撞次数和平均自由程的变化情况是( )。
- A.平均碰撞次数和平均自由程都增大
- B.平均碰撞次数和平均自由程都减小
- C.平均碰撞次数减小而平均自由程增大
- D.平均碰撞次数增大而平均自由程减小
-
有两种理想气体,第一种的压强为P1,体积为V1,温度为V1,总质量为M1,摩尔质量为μ1;第二种的压强为P2,体积为C2,温度为T2,总质量为M2,摩尔质量为μ2。当V1=V2,T1= T2,M1=M2时,则( )。
- A.

- B.

- C.

- D.

- A.
-
设连续型随机变量X的概率密度为

- A.0
- B.

- C.

- D.1
-
两台机床加工伺样的零件,第一台出现次品的概率是0.04,第二台出现次品的概率是 0.02,加工出来的零件放在一起,第一台占25%,从这批零件中任意取出一个,求它是次品的概率( )。
- A.0.005
- B.0.015
- C.0.035
- D.0.025
-
设随机变量X的概率密度为

- A.1,1/2
- B.1,1/6
- C.7/6,1
- D.1/2,1
-
某种饮料浓缩液每箱装12听,不法商人在每箱中换进4听假冒货。今质检人员从一箱中随机抽取3听进行检测,查出正好1听是假冒货的概率是( )。
- A.12/55
- B.2/11
- C.28/55
- D.41/55
-
下列向量组中线性无关的是( )。
- A.z1=(1,2,3),z2=(2,3,1),z3=(4,8,2),z4=(5,8,7)
- B.z1=(1,2,3,4),z2=(2,1,2,5),z3=(0,0,0,0)
- C.z1=(1,2,3),z2=(2,4,6)
- D.z1=(1,0),z2=(0,1)
-
设方阵A的特征值λ所对应的特征向量为ξ,那么A2-E以ξ作为其特征向量所对应的特征值是( )。
- A.λ
- B.2λ-1
- C.λ2-1
- D.λ2
-
行列式
的值为( )。- A.36
- B.46
- C.56
- D.66
-
方程y″-y=5x2的特解形式是( )。
- A.ax
- B.ax+b
- C.ax2+bx+c
- D.a
-
已知齐次方程组
有非零解。则λ的值为( )。- A.λ=2,5
- B.λ=2,5,8
- C.λ不存在
- D.λ取一切实数
-
一曲线过点(1,3),且在该曲线上任一点M(x,y)处的切线斜率为3x2,则此曲线方程为( )
- A.y=x3
- B.y=x3+c
- C.y=x3+2
- D.y=x3+4
-

- A.π/2
- B.

- C.

- D.0
-
乙是抛物线y=x2上点(0,0)与b(1,1)之间的一段弧,则
( )。- A.

- B.

- C.

- D.

- A.
-
下列的论断中,错误的是( )。
- A.

- B.

- C.

- D.

- A.
-
下列各式与
等价的是( )。- A.

- B.

- C.

- D.

- A.
-
设由方程exy+x+y=1确定隐函数y=y(x),则
( )。- A.1
- B.0
- C.-1
- D.2
-
曲面x2+2y2+3z2=6在点(1,1,1)处的切平面方程为( )。
- A.x+2y+3z+6=0
- B.x+2y+3z-6=0
- C.x-2y+3z+6=0
- D.x-2y+3z-6=0
-
平行于向量a={2,3,4}的单位向量为( )。
- A.{1,1,1}
- B.{2,3,4}
- C.

- D.{4.6.8}
-
设
,则I1,I2,I3顺序为( )。- A.I1<I2<I3
- B.I2<I1<I3
- C.I3<I1<I2
- D.I1<I3<I2
-
将双曲线
绕y轴旋转一周所成曲面方程为( )。- A.

- B.

- C.

- D.

- A.
-
极限
的值为( )。- A.1
- B.2
- C.-1
- D.0
-

- A.

- B.

- C.

- D.

- A.
-

- A.0
- B.∞
- C.5/4
- D.3/5
-
设f(x)在点x=0处可导,且f(0)=0,则
( )。- A.0
- B.1
- C.f(0)
- D.f'(0)
-
直线
与平面4x-2y-2z=3的关系是( )。- A.平行,但直线不在平面上
- B.直线在平面上
- C.直线、平面垂直相交
- D.直线、平面相交但不垂直













的值。请将程序补充完整。 IMPLICIT INTECER(A-Z) DATA SUM,I/0,1/ 10 IF I.LE.5 THEN FACT=1 DO 100 K=1,______ FACT=FACT*K 100 CONTINUE SUM=SUN+FACT I=I+1 COTO 10 ENDIF WRITE(*,*)SUM END 答案是( )。



























































下列说法不正确的是( )。

值最大者为( )。



在密闭容器中反应达到平衡,若加人情性气体,估计哙出现( )。










表示( )。








的值为( )。
有非零解。则λ的值为( )。


( )。







等价的是( )。



( )。
,则I1,I2,I3顺序为( )。
绕y轴旋转一周所成曲面方程为( )。



的值为( )。





( )。
与平面4x-2y-2z=3的关系是( )。