注册结构工程师(一级基础考试-上午)模拟试卷5
-
某产品市场销售状态有四种可能,其概率值分别为0.2,0.3,0.3,0.2,不同销售状态的收益值分别为41万元,49万元,57万元,65万元,其期望收益值为( )。
- A.49.8万元
- B.51.4万元
- C.52.3万元
- D.53.0万元
-
某投资项目寿命为10年,建设期为三年,当基准折现率取10%时,净现值等于零。则该项目的动态投资回收期等于( )。
- A.10年
- B.7年
- C.3年
- D.13年
-
下面说法不正确的是( )。
- A.价值工程的目的旨在提高功能对成本的比值
- B.价值工程以使用者的功能需求为出发点
- C.价值工程通常是由管理部门独自开展的活动
- D.价值工程的性质属于一种“思想方法和管理技术”
-
某建设项目投资额1500万元,净现值为1506万元,基准收益率为12%,则该项目的财务内部收益率为( )。
- A.<12%,可行
- B.≥12%,可行
- C.>12%,可行
- D.=12%,不可行
-
以下四个投资方案,经筛选,最佳投资方案是( )。

- A.甲方案
- B.乙方案
- C.丙方案
- D.丁方案
-
如果一个建设项目的盈亏平衡点(生产能力利用率)低,承受风险的能力就( )。
- A.小
- B.大
- C.低
- D.等于零
-
价值工程的核心工作是( )。
- A.最大限度地提高产品的功能
- B.最大限度地降低产品的成本
- C.提高产品价值
- D.延长产品的寿命周期
-
同一时间点上的现金流入和现金流出的代数和,称为( )。
- A.净现金流量
- B.现金流量
- C.净现值
- D.现金收支
-
以下各项中列入建筑安装工程费用的税金是( )。
- A.营业税
- B.消费税
- C.增值税
- D.固定资产投资方向调节税
-
某公司拟在五年后还清100000元的债务,从现在起每年年末等额存入银行一笔款项。假设银行存款利率为10%,每年需存入( )元。
- A.13680
- B.16300
- C.16380
- D.18360
-
放大电路如图所示,已知:RB=240kΩ,RC=3kΩ,晶体管β=40,UCC=12V,现该电路中的三极管损坏,换上一个β=80的新管子,若要保持原来的静态电流IC不变且忽略UBE,应把RB调整为( )。

- A.480kΩ
- B.120kΩ
- C.700kΩ
- D.240kΩ
-
设某晶体管三个极的电位分别为UE=-13V,UB=-12.3V,UC=6.5V,则该管是 ( )。
- A.PNP型锗管
- B.NPN型锗管
- C.PNP型硅管
- D.NPN型硅管
-
如图所示电路在换路前已处于稳定状态,在t=0瞬间将开关S闭合,且uc(0_)=20V,则( )。

- A.0A
- B.1A
- C.0.5A
- D.2A
-
采取适当措施降低三相鼠笼式电动机的启动电流是为了( )。
- A.防止烧坏电机
- B.防止烧断熔断丝
- C.防止烧毁负载
- D.减小启动电流所引起的电网电压波动
-

- A.

- B.

- C.

- D.

- A.
-
在R,C串联电路中,激励信号产生的电容电压响应(零状态响应)uc(t)中( )。
- A.仅有稳态分量
- B.仅有暂态分量
- C.既有稳态分量,又有暂态分量
- D.既无稳态分量,又无暂态分量
-
某感性负载的额定功率为PN,额定功率因数为λN,并联电容后接额定电压,若所并联的电容使电路发生谐振,则总负载(含电容在内)消耗的功率P及功率因数λ与其PN及λN的关系是( )。
- A.P=PN,λ=λN
- B.P>PN,λ=λN
- C.P=PN,λ>λN
- D.P>PN,λ>λN
-
如图所示,在R,L,C元件串联电路中,施加正弦电压u,当XC>XL时,电压u与i的相位关系应是μ( )。

- A.超前于i
- B.滞后于i
- C.与i反相
- D.与i同相
-
图中所示正弦交流电路中,z1=|z1|∠φ1,z2=|z2|∠φ2,无条件地表示U,U1和U2各电压有效值关系的表示式为( )。

- A.U=U1+U2
- B.

- C.

- D.U=U1-U2
-
相量图如下所示,其正弦电压U施加于感抗XL=5Ω的电感元件上,则通过该元件的电流相量I=( )。

- A.5∠-60°A
- B.5∠120°A
- C.2∠-60°A
- D.10∠120°A
-
在下图所示电路中,已知:Us=10V,I1=-4A,I2=1A。电流I3=( )。

- A.1A
- B.2A
- C.3A
- D.4A
-
以下程序段 PROGRAM MAIN EXTERNAL FX Y=TX(FX,3,2) PBINT*,Y END FUNCTION TX(FUN,A,B) FX=(FUN(A)-FUN(B))/2.0 END FUNCTION FX(X) FX=X*X END 程序运动结果为( )。
- A.9
- B.4
- C.2.5
- D.6.5
-
当理想电流源短路时,该电流源内部特征为( )。
- A.有电流,有功率损耗
- B.无电流,无功率损耗
- C.有电流,无功率损耗
- D.不能确定
-
有程序段 READ *,X,Y Z=10 IF(X.GT.0)THEN Z=X+Y ELSE IF(X.LT.0)THEN Z=X-Y ELSE Z=X*Y ENDIF 输入数据0,100,程序执行后,Z值为( )。
- A.100.0
- B.-100.0
- C.0.0
- D.10.0
-
程序 F(X)=1.01*(X+3.0) FF(X)=4.0*F(X)+1.1255 WRITE(*,100)FF(5.0)100 FORNAT(1X,E9.3) END 上述程序执行后,输出的结果为( )。
- A.1.6255
- B.0.334E+02
- C.0.163E+0.1
- D.1.626E+00
-
程序 program traparea data a,b/10,5/ y(x)=2*x+1 s=(y(b)+y(a))*abs(b-a)/2 write(*,*)'s=',s end 程序执行后,最接近s的值为( )。 (A) 80.1 (B) -80.0
- A.80.1
- B.-80.0
- C.90.5
- D.70.1
-
广域网大多数采用的拓扑结构是( )。
- A.总线形
- B.环形
- C.网状形
- D.星形
-
下面程序段的运行结果是( )。 J=4 K=5 DO 1 M=1,J1 K=K+M PRINT*,K END
- A.13
- B.14
- C.15
- D.16
-
二进制的1011转换成十进制数是( )。
- A.13
- B.14
- C.12
- D.11
-
以下四个数中,最小的数是( )。
- A.32
- B.36H
- C.22H
- D.10101100B
-
ROM中数据在断电后( )丢失。
- A.部分
- B.全部
- C.保存在硬盘上,不会
- D.保存在主板上,不会
-
计算机应由五个基本部分组成,下面哪项不属于这五个基本组成。( )。
- A.运算器
- B.控制器
- C.总线
- D.存储器、输入设备和输出设备
-
如图所示,用毕托管测量油流速,已知油的容重γ1=7.84kN/m3,水银的容重γ2=133.28 kN/m3,h=0.1m,测点流速为( )。

- A.4.97m/s
- B.5.16m/s
- C.5.60m/s
- D.5.77m/s
-
在渠道糙率、底坡和过水断面积不变条件下,水力最佳断面不正确的概念为( )。
- A.通过流量最大
- B.过水断面湿周最小
- C.过水断面水力半径最小
- D.过水断面水力半径最大
-
若物体受力F与长度l、速度v、流体密度ρ、重力加速度g有关,则本物理过程中物理量个数n、基本量个数m和无量纲π的个数分别应为( )。
- A.n=5,m=3,π=2
- B.n=4,m=3,π=1
- C.n=3,m=5,π=2
- D.n=3,m=5,π=1
-
圆管流速很慢,其速度分布为绕圆管中心旋转抛物线,u=um[1-(r/r0)2],则断面平均速度是最大速度的( )倍。
- A.0.6
- B.0.5
- C.0.8
- D.0.7
-
并联长管的流动特征是( )。
- A.各分管流量相等
- B.各分管测压管水头差不等于各分管的总能头差
- C.总流量等于各分管流量之和,但各分管的水头损失不等
- D.总流量等于各分管流量之和,但各分管的水头损失相等
-
层流的沿程水头损失( )。
- A.与流速的一次方成正比
- B.与流速的一次方成反比
- C.与流速的平方成正比
- D.与流速之间没有明显关系
-
将一锐边平板垂直插入一水平射流中,如图所示。已知射流速度v=30m/s,总流量Q=36l/s,Q2=2/3Q,射流偏转角α=30°,平板对射流作用力R等于( )。

- A.132N
- B.145N
- C.456N
- D.624N
-
沿程水头损失系数λ的确定,下列说法正确的是( )。
- A.由雷诺数和绝对粗糙度确定
- B.由雷诺数和相对粗糙度确定
- C.由相对粗糙度确定
- D.由雷诺数确定
-
所谓流线是指( )。
- A.流域的边界线
- B.同一流体质点在不同瞬时所经过的空间曲线
- C.不同流体质点在不同瞬时所经过的空间曲线
- D.不同流体质点在同一瞬时的速度方向所连成的空间曲线
-
图示的压强分布图中( )。

- A.没有错误
- B.一个有错
- C.两个有错
- D.三个都有错
-
设水自由液面压强为1个工程大气压Pa,则水自由液面以下3m处的绝对压强为( )。
- A.1.0Pa
- B.1.3Pa
- C.1.5Pa
- D.2.0Pa
-
在复杂应力状态下提出强度理论,是因为( )。
- A.在不同方向的截面上应力不同,因而,需要建立一个理论来分析应力这种变化
- B.难以完全用实验方法来确定材料在各种应力状态下的极限应力,因而提出理论,以便利用简单应力状态下的实验结果,来建立复杂应力状态的强度条件
- C.为了比较不同材料的强度,需要一种理论,以便确定新材料的强度指标
- D.为了比较构件内点与点之间应力状态的差别
-
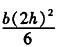
纯弯曲梁的横截面边长为a的正方形,弯矩矢量方向如图所示。其最大正应力为( )。

- A.

- B.

- C.

- D.

- A.
-
实际流体在过流断面上近壁处的流体黏性力为( )。
- A.0
- B.最小
- C.最大
- D.同管轴线处值
-
矩形截面简支梁如图示,已知梁的横截面面积为A,截面惯性矩为I的弹性模量为E,泊松比为μ,梁外表面中性层上A点45°方向的线应变为ε45°。则荷载F为( )。

- A.

- B.

- C.

- D.

- A.
-
用积分法计算下图所示梁的挠曲线微分方程时间,其正确的边界条件和连续条件应为( )。

- A.边界条件 当x=0时,yA=0,yA'=0;当x=2a时,yB=0 连续条件 当x=a时,yC左=yC右,yC'左=yC'右;当x=2a时,yB左=yB右,yB'左=yB
- B.边界条件 当x=0时,yA=0,yA'=0;当x=2a时,yB=0 连续条件 当x=a时,yC左=yC右;当x=2a时,yB左=yB右,yB'左=yB'右
- C.边界条件 当x=0时,yA=0;当x=2a时,yB=0 连续条件 当x=a时,yC左=yC右;当x=2a时,yB左=yB右
- D.边界条件 当x=0时,yA=0,yA'=0;当x=2a时,yB=0 连续条件 当x=a时,yC左=yC右,yC'左=yC'右;当x=2a时,yB左=yB右,yB'左=yB
-
一粱拟用图示两种方式搁置,则两种情况下的最大应力之比(σmax)a/(σmax)b为( )。

- A.1/4
- B.1/16
- C.1/64
- D.16
-
如图所示,两根b×h矩形截面的木梁叠合在一起(叠合面上无胶黏剂),两端受力偶矩Me作用,这时该组合梁的弯曲截面系数W=( )。

- A.

- B.

- C.

- D.

- A.
-
如图所示,已知平面图形的形心为C,面积为A,对z轴的惯性矩为Iz。则图形对z1轴的惯性矩为( )。

- A.Iz+Ab2
- B.Iz+A(a+b)2
- C.Iz+A(a2-b2)
- D.Iz+A(b2-a2)
-
如图所示三种截面形状,均是由面积为A的大矩形挖去面积为S的小矩形而构成的,z轴为中性轴,则可按公式Iz=Iz大矩形-Iz小矩形计算其对中性轴的惯性矩的是( )。

- A.只有图(a)截面
- B.只有图(b)截面
- C.只有图(c)截面
- D.(b)、(c)截面均可
-
两根工字形截面梁的几何尺寸和所受荷载均相同,只是所采用的材料不同,a梁的材料为低碳钢,b梁的材料为铝合金,且均在弹性范围内工作,则两根梁的最大正应力和最大线应变的关系是( )。
- A.(σa)max=(σb)max,(εa)max=(εb)max
- B.(σa)max>(σb)max,(εa)max>(εb)max
- C.(σa)max<(σb)max,(εa)max<(εb)max
- D.(σa)max=(σb)max,(εa)max<(εb)max
-
图示两板用圆锥销钉连接,圆锥销钉的受剪面积为( )。

- A.

- B.

- C.

- D.

- A.
-
一圆轴的横截面是外径为D、内径为d的空心轴,且a=d/D,则其极惯性矩和抗扭截面系数应为( )。
- A.

- B.

- C.

- D.

- A.
-
空心圆轴,其内外径分别为α,扭转时轴内的最大切应力为τ,这时横截面上内边缘处的切应力为( )。

- A.0
- B.ατ
- C.τ/α
- D.(1-α4)τ
-
一桁架及其承载情况如图,三杆的抗拉(压)刚度EA相同,则其中杆BD的轴力N为 ( )。

- A.N=P
- B.N>0
- C.N<0
- D.N=0
-
如图所示销钉的挤压力σbs=( )。

- A.

- B.

- C.

- D.

- A.
-
已知水平力P,则如图所示桁架1杆的内力为( )。

- A.T1=P(拉力)
- B.T1=2P(拉力)
- C.T1=-p(压力)
- D.T1=-2P(压力)
-
两单元体的应力状态如图所示,图中应力单位为MPa。关于它们的主应力和方向的论述正确的是( )。

- A.主应力大小和方向均相同
- B.主应力大小和方向均不同
- C.主应力大小不同,但方向相同
- D.主应力大小相同,但方向不同
-
A、B两物块置于光滑水平面上,并用弹簧相连,如图所示。当压缩弹簧后无初速地释放,释放后系统的动能和动量分别用T、p表示,则有( )。

- A.T≠0,p=0
- B.T=0,p≠0
- C.T=0,p=0
- D.T≠0,p≠0
-
椭圆规机构中AB杆的质量为2m1,曲柄OC质量为m1,滑块A和B质量均为m2。已知OC=AC=CB=l,曲柄OC及杆AB皆为匀质,曲柄以角速度ω转动。则在图所示位置时椭圆规机构的动量为( )。

- A.(2.5m1+2m2)lω
- B.(2m1+2m2)lω
- C.(3m1+2m2)lω
- D.(2m1+3m2)lω
-
点做直线运动,运动方程x=12t-t3(x:cm;t,s),当t=3s时,x=9cm,可以计算出点在3s内经过的路程为( )。
- A.9cm
- B.16cm
- C.25cm
- D.23cm
-

- A.

- B.

- C.

- D.

- A.
-
设三个物块用绳相连,如图所示,其质量分别为m1=2m2=4m3,此质点系的动量为 ( )。

- A.3m3v
- B.4.263m3v
- C.4m3v
- D.4.263m3v
-
物体重为Q,作用力为P,已知P力与铅直线呈30°,摩擦角φm=14°,P=Q=0.6kN,则物块处于下列( )状态。

- A.静止状态
- B.运动状态
- C.临界平衡状态
- D.在P=Q=0.6kN时能静止,P再大将运动
-
一平面力系向点1简化时,主矢R'≠0,主矩M1=0。若将该力系向另一点2简化,其主矢R'和主矩M2将分别( )。
- A.可能为R'≠0,M2≠0
- B.可能为R'=0,M2≠M1
- C.可能为R'=0,M2=M1
- D.不可能为R'≠0,M2=M1
-
如图所示,曲杆重不计,其上作用一力偶矩为M的力偶,则图(a)中的B点反力比图(b)中 A点的反力( )。

- A.大
- B.小
- C.相同
- D.不能确定
-
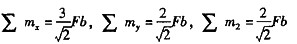
图示二力F1=F2=F,且b已知,求F1,F2对x、y、z轴力矩之和,即∑mx,∑my,∑mz的值分别为( )。

- A.

- B.

- C.

- D.

- A.
-
平面力系向O点简化得主矢R'和主矩M0,除O点外,力系向哪点简化主矩仍等M0( )。

- A.过O点与R'垂直的左半线上的任一点,即OA线上任一点
- B.过O点与R'垂直的右半线上的任一点,即OB线上任一点
- C.过O点与R'垂直线上的任一点
- D.R'作用线上的任一点
-
在下列四个力三角形中,表示R=F1+F2的图是( )。
- A.

- B.

- C.

- D.

- A.
-
某简支梁AB受荷载如图(a)、(b)、(c)所示,今分别用F(a)、F(b)、F(c)表示三种情况下支座B的约束力,则它们之间的关系应为( )。

- A.F(a)<F(b)F(c)
- B.F(a)>F(b)=F(c)
- C.F(a)=F(b)>F?
- D.F(a)=F(b)<F?
-
某有机物含有下列哪种官能团时,既能发生氧化反应、酯化反应,又能发生消去反应 ( )。
- A.—COOH
- B.—OH
- C.—Cl
- D.

-
在下列化合物中不能进行加成反应的是( )。
- A.CH≡CH
- B.RCHO
- C.CH3COCH3
- D.C2H5OC2H5
-
下列叙述中正确的是( )。
- A.多原子分子中,键的极性越强,分子的极性也越强
- B.具有极性共价键的分子一定是极性分子
- C.非极性分子中的化学键一定是非极性共价键
- D.双原子分子中的键是非极性键,分子一定是非极性分子
-
下列物质存在氢键的是( )。
- A.HBr
- B.C2H6
- C.H2SO4
- D.CH3Cl
-
下列物质中,酸性最强的是( )。
- A.HMnO4
- B.H3AsO4
- C.H3BO3
- D.H2SO3
-
含有杂质的铁在水中发生吸氧腐蚀,则阴极反应是( )。
- A.Fe→Fe2++2e
- B.O2+2H2O+4e→4OH-
- C.2H++2e→H2
- D.Fe2++2OH-→Fe(OH)2
-

- A.

- B.

- C.

- D.

- A.
-
在一定条件下,已建立化学平衡的某可逆反应,当改变反应条件使化学平衡向正反应方向移动时,下列有关叙述正确的是( )。
- A.生成物的体积分数一定增加
- B.反应物浓度一定降低
- C.生成物的产量一定增加
- D.使用了合适催化剂
-

- A.1.34×10-3
- B.9.46×10-12
- C.1.80×10-5
- D.5.56×10-10
-
在某温度时,已知0.1 mol·L-1氢氰酸(HCN)的电离度为0.01%。该温度时HCN的标准电离常数
是( )。- A.1.0×10-5
- B.1.0×10-4
- C.1.0×10-9
- D.1.0×10-6
-

- A.v=k[NO]2·[H2]2
- B.v=k[NO]·[H2]
- C.v=k[N2O2]·[H2]
- D.v=k[NO]2
-

- A.

- B.

- C.

- D.

- A.
-
一束平行单色光垂直入射到光栅上,当光栅常数a+b为下列哪种情况时(a代表每条缝的宽度),k=3,6,9等级次的主极大均不出现( )。
- A.a+b=2a
- B.a+b=3a
- C.a+b=4a
- D.a+b=6a
-
一束光强为I0的自然光垂直穿过两个偏振片,且引两偏振片的偏振化方向呈45°,若不考虑偏振片的反射和吸收,则穿过两个偏振片后的光强I为( )。
- A.

- B.

- C.

- D.

- A.
-
一细绳垂直固接于墙壁的A点,一列波沿细绳传播,并在A点反射,已知绳中D点到A点距离为λ/8,则D点处入射波比反射波的相位( )。
- A.

- B.

- C.

- D.

- A.
-
在双缝干涉实验中,屏幕E上的P点处是明条纹。若将缝S2盖住,并在S1S2连线的垂直平分面处放一反射镜M,如图所示,则此时( )。

- A.P点处仍为明条纹
- B.P点处为暗条纹
- C.不能确定P点处是明条纹还是暗条纹
- D.无干涉条纹
-
一平面简谐波沿x轴正方向传播,波动方程为
该波在t=0.5s时刻的波形图是( )。- A.

- B.

- C.

- D.

- A.
-
P1,P2和P3三个偏振片堆叠在一起,其中P2与P1的偏振化方向间的夹角为30°,P1与P3的偏振方向相互垂直。若强度为I0的自然光垂直入射于偏振片P1,并依次透过偏振片P1,P2与P3,则通过三个偏振片后的光强(忽略偏振片的吸收)为( )。
- A.I0/4
- B.3I0/8
- C.3I0/32
- D.I0/16
-
一束波长为λ的单色光由空气垂直入射到折射率为n的透明薄膜上,透明薄膜放在空气中,要使反射光得到干涉加强,则薄膜最小的厚度为( )。
- A.λ/4
- B.λ/(4n)
- C.λ/2
- D.λ/(2n)
-
“理想气体和单一热源接触做等温膨胀时,吸收的热量全部用来对外做功”。对此说法中,有如下几种评论,正确的是( )。
- A.不违反热力学第一定律,但违反热力学第二定律
- B.不违反热力学第二定律,但违反热力学第一定律
- C.不违反热力学第二定律,也不违反热力学第一定律
- D.违反热力学第二定律,也违反热力学第一定律
-
借助玻璃表面上涂一层折射率n=1.38的MgF2透明薄膜,可以减少折射率为n'=1.60的玻璃表面的反射。当波长为λ=500nm的单色光垂直入射时,为了实现最小的反射,则此透明薄膜的最小厚度为( )。
- A.5nm
- B.30nm
- C.90.6nm
- D.250nm
-
两相干平面简谐波振幅都是4cm,两波源相距30cm相位差为π,在两波源连线的中垂线上任意一点P,两列波叠加后合振幅为( )。
- A.8cm
- B.16cm
- C.30cm
- D.0
-
在一封闭容器中盛有1mol氦气(视作理想气体),这时分子无规则运动的平均自由程仅决定于( )。
- A.压强p
- B.体积V
- C.温度T
- D.平均碰撞频率

-
下列各式中哪一式表示气体分子的平均平动动能(式中M为气体的质量,m为气体分子质量,N为气体分子总数目,n为气体分子数密度,N0为阿伏伽德罗常数)( )。
- A.

- B.

- C.

- D.

- A.
-
随机地从一批零件中抽取16个,测得其长度(单位:cm)如下: 2.14,2.10,2.13,2.15,2.13,3.12,2.13,2.10 2.15,2.10,2.14,2.10,2.13,2.11,2.14,2.11 该零件长度分布为正态的且σ=0.01(cm),则总体均值μ的置信度为0.95的置信区间是 ( )。
- A.[2.1,2.2]
- B.[2.1201,2.1299]
- C.[2.13,2.14]
- D.[2.2,2.31]
-

- A.1/2
- B.3/2
- C.1
- D.1/4
-
10把钥匙有3把能开门锁,今任取2把,则能打开门锁的概率为( )。
- A.4/15
- B.2/3
- C.8/15
- D.3/4
-

- A.

- B.

- C.

- D.

- A.
-
设x的分布函数
,则P{x≤2}=( )。- A.0
- B.0.8647
- C.0.1353
- D.0.08647
-

- A.

- B.

- C.

- D.没有意义
- A.
-
方程组
的解的情况为( )。- A.无解
- B.有唯一非零解
- C.有唯一零解
- D.无穷多解
-

- A.

- B.

- C.

- D.

- A.
-
方程xy'-yln y=0的通解为( )。
- A.y=ex
- B.y=e-x
- C.y=x
- D.y=ecx
-

- A.

- B.

- C.

- D.

- A.
-

- A.

- B.

- C.

- D.

- A.
-

- A.1/5
- B.2/5
- C.3/5
- D.4/5
-

- A.

- B.

- C.

- D.

- A.
-

- A.6/35
- B.7/35
- C.8/35
- D.9/35
-

- A.-e
- B.e
- C.1
- D.-1
-

- A.

- B.

- C.

- D.

- A.
-
已知点M(5,3,2),N(1,-4,6),则向量MN的单位向量可表示为( )。
- A.{-4/9,-7/9,4/9}
- B.{-4,7,4}
- C.{4,7-4}
- D.{4/9,7/9,-4/9}
-
设金属棒长3m,离棒左端xm处的线密度
,则棒质量为( )。- A.4kg
- B.2kg
- C.1kg
- D.5kg
-
二次曲面z=x2+y2的名称为( )。
- A.球面
- B.旋转抛物面
- C.圆锥面
- D.圆柱面
-

- A.

- B.

- C.

- D.

- A.
-

- A.0
- B.1
- C.-1
- D.2
-
曲线y=x3+ex+1在点(0,2)处的法线方程为( )。
- A.y=x+2
- B.y=x-2
- C.y=x
- D.y=2-x
-
设
,若f(x)在x=0处可导,则a=( )。- A.2
- B.0
- C.-1
- D.1
-
函数
的定义域为( )。- A.[0,3]
- B.(0,2)∪(2,3)
- C.[0,2)∪(2,3]
- D.(0,3]


















































































是( )。














该波在t=0.5s时刻的波形图是( )。














,则P{x≤2}=( )。



的解的情况为( )。



























,则棒质量为( )。





,若f(x)在x=0处可导,则a=( )。
的定义域为( )。