2015年全国注册环保工程师执业资格考试公共基础试卷四
-
根据《节约能源法》的规定,对固定资产投资项目国家实行( )。
- A.节能目标责任制和节能考核评价制度
- B.节能审查和监管制度
- C.节能评估和审查制度
- D.能源统计制度
-
根据《行政许可法》的规定,下列可以不设行政许可事项的是( )。
- A.有限自然资源开发利用等需要赋予特定权利的事项
- B.提供公众服务等需要确定资质的事项
- C.企业或者其他组织的设立等,需要确定主体资格的事项
- D.行政机关采用事后监督等其他行政管理方式能够解决的事项
-
根据《招标投标法》的规定,招标人和中标人按照招标文件和中标人的投标文件。订立书面合同的时间要求是( )。
- A.自中标通知书发出之日起l5目内
- B.自中标通知书发出之日起30日内
- C.自中标单位收到中标通知书之目起l5日内
- D.自中标单位收到中标通知书之日超30日内
-
ABC分类法中,部件数量占60%~8D%,成本占s%~l0%的为( )。
- A.A类
- B.B类
- C.C类
- D.以上都不对
-
根据《安全生产法》的规定,生产经营单位使用的涉及生命安全,危险性较大的特种设备,以及危险物品的容器、运输工具,必须按照国家有关规定,由专业生产单位生产,并经取得专业资质的检测、检验机构检测、检验合格,取得< >。
- A.安全使用证和安全标志i方可投入使用
- B.安全使用证或安全标志,方可投入使用
- C.生产许可证和安全使用证,方可投入使用
- D.生产许可证或安全使用证,方可投入使用
-
关于盈亏平衡点的下列说法中,错误的是( )。
- A.盈亏平衡点是项目的盈利与亏损的转挠点
- B.盈亏平衡点上,销售(营业、服务)收入等于总成本费用
- C.盈亏平衡点越低,表明项目抗风险能力越弱
- D.盈亏平衡分析只用于财务分析
-
属于改扩建项目经济评价中使用的五种数据之一的是( )。
- A.资产
- B.资源
- C.效益
- D.增量
-
可外贸货物的投入或产出的影子价格应根据日岸价格计算,下列公式正确的是( )。
- A.出口产出的影子价格(出厂价)=离岸价(FOB)x影子汇率+出口费用’
- B.出口产出的影子价格(出厂价)=到岸侩(CIF)x影子汇率一出口费用
- C.出口投入的影子价格(到厂价)一到岸价(c1F)×影子汇率+进口费用
- D.出口投入的影子价格(到厂价)=离岸价(FOB)x影子汇率一进口费用
-
关于准股本资金的下列说法中,正确的是( )。
- A.准股本资金具有资本金性质,不具有债务资金性质
- B.准股本资金主要包括优先股股票和可转换债券
- C.优先股股票在项目评价中应视为项目债务资金
- D.可转换债券在项目评价中应视为项目资本金
-
某项目建设工期为两年,第一年投资200万元,第二年投资300万元,投产后每年净现金 流量为150万元,项目计算期为10年,基准收益率10%,则此项目的财务净现值 为( )。
- A.331.97万元
- B.188.63万元
- C.171.48万元
- D.231.60万元
-
某公司拟向银行贷款l00万元,贷款期为3年,甲银行的贷款利率为6%(按季计息),乙银行的贷款利率为7%,该公司向( )贷款付出的利息较少。
- A.甲银行
- B.乙银行
- C.两家银行的利息相等
- D.不能确定
-
关于总成本费用的计算公式,下列正确的是( )。
- A.总成本费用=生产成本+期间费用
- B.总成本费用=外购原材料、燃料和动力费+工资及福利费+折旧费
- C.总成本费=外购原材料,燃料和动力费+工资及福利费+折旧费+摊销费
- D.总成本费一外购原材料、燃料和动力费+工资及福利费+折旧费+摊销费+修理费
-
因特网是一个联结了无数个小网丽形成的大网,也就是说( )。
- A.因特网是一个城域网
- B.因特网是一个网际网
- C.因特网是一个局域网
- D.因特网是一个广域网
-
信息化社会是信息革命的产物,它包含多种信息技术的综合应用。构成信息化社会的个主要技术支柱是( )。
- A.计算机技术、信息技术、网络技术
- B.计算机技术、通信技术、网络技术
- C.存储器技术、航空航天技术、网络技术
- D.半导体工艺技术、网络技术、信息加工处理技术
-
网络软件是实现网络功能不可缺少的软件环境。网络软件主要包括( )。
- A.网络协议和网络操作系统。
- B.网络互联设备和网络协议
- C.网络协议和计算机系统
- D.网络操作系统和传输介质
-
影响计算机图像质量的主要参数有( )。
- A.颜色深度、显示器质量、存储器大小
- B.分辨率、颜色深度、存储器空问大小
- C.分辨率、存储器大小、图像加工处理工艺
- D.分辨率、颜色深度、图像文件的尺寸
-
数字签名是最普遍、技术最成熟、可操作性最强的一种电子签名技术,当前已得到实际应用的是在( )。
- A.电子商务、电子政务中
- B.股票交易中、电子政务中
- C.票务管理中、股票交易中
- D.电子商务、票务管理中
-
计算机内的数字信息、文字信息、图像信息、视频信息、音频信息等所有信息,都是用( )。
- A.不同位数的八进制数来表示的
- B.不同位数的十进制数来表示的
- C.不同位数的二进制数来表示的
- D.不同位数的十六进制数来表示的
-
总线能为多个部件服务,它可分时地发送与接收各部件的信息。所以,可以把总线看成 是( )。
- A.一组公共信息传输线路
- B.微机系统的控制信息传输线路
- C.操作系统和计算机硬件之间的控制线
- D.输入/输出的控制线
-
将二进制小数0.1010101111转换成相应的八进制数,其正确结果是( )。
- A.0.2536
- B.0.5274
- C.0.5236
- D.0.5281
-
95.D触发器的应用电路如图所示,设输出端Q的初值为0,那么在时钟脉冲cP的作用下,输出Q为( )。

- A.1
- B.cp
- C.脉冲信号,频率为时钟脉冲频率的1/2
- D.0
-
96.由3K触发器组成的应用电路如图所示,设触发器的初值都为00,经分析可知这是一 个( )。

- A.同步二进制加法计数器
- B.同步四进制加法计数器
- C.同步三进制计数器
- D.同步三进制减法计数器
-
94.将运算放大器直接用于两信号的比较,如图(a)所示,其中,u12一1 V,ui1的波形由图(b)给出,则输出电压uo等于( )。

- A.ui1
- B.-ui2
- C.正的饱和值
- D.负的饱和值
-
93.某晶体管放大电路的空载放大倍数Ak=一80、输入电阻rl=1 kΩ和输出电阻ro=1 kΩ,将信号N(us=10simot mV,Rs=l kΩ)和负载(RL=5 kΩ)接于该放大电路之后(见图),载电压沆将为( )。

- A.-0.8sinwtv
- B.-0.5sinwtv
- C.-0.4sinwtv
- D.-0.25sinwtv
-
92.由图示数字逻辑信号的波形可知,三者的函数关系是( )。

- A.

- B.

- C.

- D.

- A.
-
90.非周期信号的幅度频谱是( )。
- A.连续的
- B.离散的,谱线正负对称排列
- C.跳变的
- D.离散的,谱线均匀排列
-
91.图(a)所示电压信号波形经电路A变换成图(b)波形,再经电路B变换成图(c)波形,那么,电路A和电路B应依次选用( )。

- A.低通滤波器和高通滤波器
- B.低通滤波器和带通滤波器
- C.高通滤波器和低通滤波器
- D.高通滤波器和带通滤波器
-
88.七段显示器的各段符号如图所示,那么,字母“E”的共阴极七段显示器的显示码abcde及应该是( )。

- A.1001111
- B.Oll0000
- C.10110111
- D.10001001
-
89.某电压信号随时间变化的波形图如图所示,该信号应归类于( )。

- A.周期信号
- B.数字信号
- C.离散信号
- D.连续时间信号
-
86.在电动机的继电接触控制电路中,具有短路保护、过载保护、欠压保护和行程保护,其中,需要同时接在主电路的控制电路中的保护电器是( )。
- A.热继电器和行程开关
- B.熔断器和行程开关
- C.接触器和行程开关
- D.接触器和热继电器
-
87.信息可以以编码的方式载入( )。
- A.数字信号之中
- B.模拟信号之中
- C.离散信号之中
- D.采样保持信号之中
-
85.若希望实现三相异步电动机的向上向下平滑调速,则应采用( )。
- A.串转子电阻调速方案
- B.串定手电阻调速方案
- C.调频调速方案
- D.变磁极对数调速方案
-
83.三相五线供电机制下,单相负载A的外壳引出线应( )。
- A.保护接地
- B.保护接中
- C.悬空
- D.保护接PE线
-
84.某滤波器的幅频特性波特图如图所示,该电路的传递函数为( )。

- A.

- B.

- C.

- D.

- A.
-
82.在图示电路中,A1、A2、V1、V2均为交流表,用于量电压或电流的有效值I1、I2、U1、U2。 若I=4 A,I2=2 A,U1=10 V,则电压表V2的读数应为( )。

- A.40v
- B.14.14v
- C.31.62v
- D.20v
-
81.已知,路如图所示,若使用叠加原理求解图中电流源的端电座U,正确的方法是( )。

- A.

- B.

- C.

- D.

- A.
-
77.在实验室中,根据达西定律测定某种土壤的渗透系数,将土样装在直径d一30 mm的圆筒中,在90 cm水头差作用下,8 h的渗透水量为l00 L’两测压管的距离为40 cm,该土壤晶渗透系数为( )。
- A.0.9 m/d
- B.1.9 m/a
- C.2.9 m/a
- D.3.9 m/d
-
79.在图中,线圈a的电阻为R。,线圈b的电阻为R“,两者彼此靠近如图所示,若外加激励u=UMsinat,则( )。

- A.ia=u/Rn,ib=0
- B.ia≠U/Rn,ib≠0
- C.ia=u/Rn,ib≠0
- D.ia≠U/Rn,ib=0
-
80.图示电路中,电流源的端电压U等于( )。

- A.20 V
- B.10v
- C.5v
- D.0v
-
75.圆柱形管嘴的长度为2,直径为d,管嘴佧用水头为H。,则其正常工作条件为( )。
- A. t=(3--4)d,Ho>9 m
- B.t=(3--4)d,Ho≥6 m
- C.t=(7--8)d,Ho>9 m
- D.t=(7—8)d,Ho>6 m
-
76.如图所示,当阀门的开度变小时,流量将( )。

- A.增大
- B.减小
- C.不变
- D.条件不足,无法确定
-
73.一管径d=50 mm的水管,在水温t=10℃时,管内要保持层流的最大流速是(10℃时水的运动黏滞系数V=L31×10-6m2/s)( )。
- A.O.21 m/s
- B.0.115 m/s
- C.0.105 m/s
- D.0.0525 m/s
-
74.管道长度不变,管中流动为层流,允许的水头损失不变,当直径变为原来2倍时,若不计局部损失,流量将变为原来的( )倍。
- A.2
- B.4
- C.8
- D.16
-
72.如图所示,下列说法中,( )是错误的。

- A.对理想流体,该测压管水头线(Hp线)应该沿程无变化
- B.该图是理想流体流动的水头线
- C.对理想流体,该总水头线(Ho线)沿程无变化
- D.该图不适用于描述实际流体的水头线
-
71.如图,在上部为气体下部为水的封闭容器上有u形永银测压计,其中1、2、3点位于同一平面上,其压强的关系为( )。

- A.p1<p2<p3
- B.p1>p2>p3
- C.p2<p1<p3
- D.p2=p1=p3
-
70.图示三根压杆均为纲长(大柔度)压杆,且弯曲刚度均为EI。三根压杆的临界载荷Fa的关系为( )。

- A.

- B.

- C.

- D.

- A.
-
68.矩形截面杆AB,A端固定,B端自由。B端右下角处承受与轴线平行的集中力F,杆的最大正应力是( )。

- A.a=3F/bh
- B.a=4F/bh
- C.a=7F/bh
- D.a=13F/bh
-
69.图示圆轴固定端最上缘A点的单元体的应力状态是( )。

- A.

- B.

- C.

- D.

- A.
-
67.在图示4种应力状态中,最大切应力值最大的应力状态是( )。
- A.

- B.

- C.

- D.

- A.
-
66.图示悬臂梁自由端承受集中力偶M。若梁的长度减少一半,梁的最大挠度是原来的( )。

- A.1/2
- B.1/4
- C.1/8
- D.1/16
-
65.悬臂梁AB由两根相同的矩形截面梁胶合而成。若胶合面全部开裂,假设开裂后两杆的弯曲变形相同,接触面之间无摩擦力,则开裂后梁的最大挠度是原来的( )。

- A.两者相同
- B.2倍
- C.4倍
- D.8倍
-
64.图示外伸粱,在C、D处作用相同的集中力F,截面A的剪力和截面C的弯矩分别是( )。

- A.FSA=0,MC=0
- B.FSA=F,MC=FL
- C.FSA=F/2,MC=FL/2
- D.FSA=0,MC=2FL
-
63.图示矩形截面对z1轴的惯性矩I为( )。

- A.Iz1=bh3/12
- B.Iz1=bh3/3
- C.Iz1=7bh3/6
- D.Iz1=13bh3/12
-
62.直径为d的实心圆轴受扭,为使扭转最大切应力减小一半,圆轴的直径应改为( )。
- A.2d
- B.0.5d
- C.√2d
- D.3√2d
-
61.圆轴直径为d,剪切弹性模量为G,在外力作用下发生扭转变形,现测得单位长度扭转角为0,圆轴的最大切应力是( )。
- A.

- B.

- C.

- D.

- A.
-
60.钢板用两个铆钉固定在支座上,铆钉直径为d,在图示载荷下,铆钉的最大切应力是( )。

- A.

- B.

- C.

- D.

- A.
-
58.5根弹簧系数均为k的弹簧,串联与并联时的等效弹簧刚度系数分别为( )。
- A.5k;k/5
- B.5/k;5k
- C.k/5;5k
- D.1/5k;5k
-
59.等截面杆,轴向受力如图所示。杆的最大轴力是( )

- A.8kN
- B.5kN
- C.3kN
- D.13kN
-
57.图示均质圆轮,质量为,n,半径为r,在铅垂图面内绕通过圆盘中心0的水平轴转动,角速度为叫,角加速度为e,此时将圆轮的惯性力系向0点简化,其惯性力主矢和惯性力主矩的大小分别为( )。


- A.A
- B.B
- C.C
- D.D
-
56.质量为掰,长为21的均质杆初始位于水平位置,如图所示。A端脱落后,杆绕轴B转动,当杆转到铅垂位置时,AB杆B处的约柬力大小为( )。

- A.FBx=0;FBy=0
- B.FBx=0;FBy=mg/4
- C.FBx=l;FBy=mg
- D.FBx=0;FBy=5mg/2
-
53.直角刚杆oAB在图示瞬时角速度ω=2 rad/s,角加速度ε=5 rad/s2,若0A=40 Cm,AB=30 cm,则B点的速度大小、法向加速度的大小和切向加速度的大小为( )。

- A.100cm/s;200cm/s2;250cm/s2
- B.80cm/s;160cm/s2;200cm/s2
- C.60cm/s;120cm/s2;150cm/s2
- D.100cm/s;2000cm/s2;200cm/s2
-
55.如图所示,两重物Mt和M2的质量分别为m1和m2,二重物系在不计重量的软绳上,绳绕过均质定滑轮,滑轮半径为r,质量为M1则此滑轮系统对转轴0之动量矩为( )。

- A.

- B.

- C.

- D.

- A.
-
54.重为Ⅳ的货物由电梯载运下降,当电梯加速下降、匀速下降及减速下降时,
货物对地板的压力分别为R1、R2、R3,它们之间的关系为( )。
- A.R1=R2=R3
- B.R1>R2>R3
- C.R1<R2<R3
- D.R1<R2>R3
-
51.已知质点沿半径为40 CITl的圆周运动,其运动规律为:s=20t(s以cm计,t以S计)。若t= 1s,则点的速度与加速度的大小为( )。
- A.20cm/s;10√2cm/s2
- B.20cm/s;10cm/s2
- C.40cm/s;20cm/s2
- D.40cm/s;10cm/s2
-
52.已知动点的运动方程为x=2t,Y=t2一t,则其轨迹方程为( )。
- A.y=t2-t
- B.x=2t
- C.x2-2x-4y=0
- D.x2+2x+4y=0
-
49.三铰拱上作用有大小相等,转向相反的二力偶,其力偶矩大小为M,如图所示。略去自重,则支座A的约束力大小为( )。

- A.FAx=0;FAy=M/2a
- B.FAx=M/2a;FAy=0
- C.FAx=M/a;FAy=0
- D.FAx=M/2a;FAy=M
-
50.简支梁受分布荷载作用如图所示。支座A、B的约束力为( )。

- A.FA=0,FB=0
- B.FA=1/2qa↑,FB=1/2qa↑
- C.FA=1/2qa↑,FB=1/2qa↓
- D.FA=1/2qa↓,FB=1/2qa↑
-
48.图示等边三角板ABC,边长a,沿其边缘作用大小均为F的力,方向如图所示。则此力系简化为( )。

- A.FR=0;MA=√3/2Fa
- B.FR=0;MA=Fa
- C.FR=2F;MA=√3/2Fa
- D.FR=2F;MA=√3Fa
-
47.将大小为100 N的力F沿z、y方向分解,若F在工x上的投影为50 N,而沿x方向的分力大小为200 N,则F在y轴上的投影为( )。

- A.0
- B.50 N
- C.200 N
- D.100 N
-
46.六氯苯的结构式正确的是( )。
- A.

- B.

- C.

- D.

- A.
-
45.下述化合物中,没有顺、反异构体的是( )。
- A.CHCl=CHCl
- B.CH2CH=CHCH2Cl
- C.CH2=CHCH2CH3
- D.CHF=CCIBr
-

- A.

- B.

- C.

- D.

- A.
-
44.下列各化合物的结构式,不正确的是( )。
- A.

- B.

- C.

- D.

- A.
-
41.26号元素原子的价层电子构型为( )。
- A.3d54s2
- B.3d64s2
- C.3d6
- D.4s2
-
42.确定原子轨道函数ψ形状的量子数是( )。
- A.主量子数
- B.角量子数
- C.磁量子数
- D.自旋量子数
-
40.对一个化学反应来说,下列叙述正确的是( )。
- A.

- B.

- C.活化能越小,反应速率越快
- D.活化能越大,反应速率越快
- A.
-
39.常温上,在CH2COOH与CH2COONa的混合溶液中,若它们的浓度均为0.10 mol·L-1,
测得pH是4.75,现将此溶液与等体积的水混合后,溶液的pH是( )。
- A.2.38
- B.5.06
- C.4.75
- D.5.25
-
36.若用衍射光栅准确测定一单色可见光的波长,在下列各种光栅常数的光栅中,选用最好的是( )。
- A.1.0×10—1mm
- B.5.0×10—1mm
- C.1.0×10一2mm
- D.1.0×10-3mm
-
37.

- A.5.6×10-9mol.L-1
- B.5.6×10-10mol.L-1
- C.5.6×10-8mol.L-1
- D.5.6×10-5mol.L-1
-
38.BeCl2中Be的原子轨道杂化轨道类型为( )。
- A.sp
- B.sp2
- C.sp3
- D.不等性sp3
-
33.在双缝干涉实验中,若在两缝后(靠近屏一侧)各覆盖_块厚度均为d,但折射率分别为n1。和n2(n2>n1)的透明薄片,从两缝发出的光在原来中央明纹处相遇时,光程差为( )。
- A.d(n2--nt)
- B.2d(n2~n1)
- C.d(n2—1)
- D.d(n1一1)
-
34.在空气中做牛顿环实验,当平凸透镜垂直向上缓慢平移而远离平面玻璃时,可以观察到这些环状干涉条纹( )。

- A.向右平移
- B.静止不动
- C.向外扩张
- D.向中收收缩
-
31.一声波波源相对媒质不动,发出的声波频率是V0。设一观察者的运动速度为波速的1/2,当观察者迎着波源运动时,他接收到的声波频率是( )。
- A.2vo
- B.1/2vo
- C.vo
- D.3/2vo
-
30.一平面简谐波在弹性媒质中传播时,某一时刻在传播方向上一质元恰好处在负的最大位移处,则它的( )。
- A.动能为零,势能最大
- B.动能为零,势能为零
- C.动能最大,势能最大
- D.动能最大,势能为零
-
28.一定量的理想气体,由一平衡态P1,V1,T1变化到另一平衡态P2,V2,T2,若V2>v1,但T2=T1,无论气体经历什么样的过程( )。
- A.气体对外做的功一定为正值
- B.气体对外做的功一定为负值
- C.气体的内能一定增加
- D.气体的内能保持不变
-
26.理想气体的压强公式是( )。
- A.p=1/3nmv2
- B.

- C.

- D.

-
27.“理想气体和单一热源接触做等温膨胀时,吸收的热量全部用来对外做功。”对此说法,有如下几种讨论,正确的是( )。
- A.不违反热力学第一定律,但违反热力学第二定律
- B.不违反热力学第二定律,但违反热力学第一定律
- C.不违反热力学第一定律,也不违反热力学第二定律
- D.违反热力学第一定律,也违反热力学第二定律
-
24.设随机变量(x,y)服从二维正态分布,其概警密度为f(x,y)=1/2πe-1/2(x2+y2),则E(x2+y2)等予( )。
- A.2
- B.1
- C.1/2
- D.1/4
-

- A.1/3
- B.2/3
- C.1/2
- D.1/4
-

- A.一2或3
- B.2或3
- C.2或一3
- D.一2或一3
-

- A.5/6
- B.1/6
- C.1/3
- D.1/5
-
22.将3个球随机地放人4个杯子中,则杯中球的最大个数为2的概率为( )。
- A.1/16
- B.3/16
- C.9/16
- D.4/27
-
19.已知3维列向量a1β满足a3β=3,设3阶矩阵A=βaT,则( )。
- A.β是A的属于特征值0的特征向量
- B.a是A的属于特征值0的特征向量
- C.β是A的属于特征值3的特征向量
- D.a是A的属于特征值3的特征向量
-
18.设A是3阶矩阵,矩阵A的第l行的2倍加到第2行,得矩阵B,则下列选项中成立的是( )。
- A.B的第l行的一2倍加到第2行得A
- B.B的第l列的~2倍加到第2列得A
- C.B的第2行的一2倍加到第l行得A
- D.B的第2列的一2倍加到第l列得A
-
16.微分方程ydx+(x--y)dy=0的通解是( )。
- A.(x-y/2)y=c
- B.xy=c(x-y/2)
- C.xy=c
- D.y=c/ln(x-y/2)
-

- A.-|A||B|
- B.|A||B|
- C.(-1)m+n|A||B|
- D.(-1)mn|A||B|
-
15.微分方程yn+2y=0的通解是( )。
- A.y=Asin2x
- B.y=Acosx
- C.y=sin√2x+Bcos√2x
- D.y=Asin√2x+Bcos√2x
-

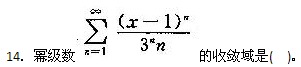
- A.[-2,4)
- B.(-2,4)
- C.(一1,1)
- D.[-1/3,-4/3]
-
13.下列各级数中发散的是( )。
- A.

- B.

- C.

- D.

- A.
-
11.圆周p=cos0,p=2cos0及射线0=0,0=π/4所围的图形的面积S等( )。
- A.3/8(π+2)
- B.1/16(π+2)
- C.3/16(π+2)
- D.7/8π
-

- A.

- B.

- C.

- D.

- A.
-
10.下列广义积分中收敛的是( )。
- A.

- B.

- C.

- D.

- A.
-

- A.-1/4e-2x(2x+1)+c
- B.1/4e-2x(2x-1)+c
- C.-1/4e-2x(2x-1)+c
- D.-1/2e-2x(x+1)+c
-
8.若函数f(x)的一个原函数是e-2x,则ff''(x)dx等于( )。
- A.e-2x+c
- B.-2e-2x
- C.-2e-2x+c
- D.4e-2x+c
-

- A.a=1,b=2
- B.a=一l,6b=2
- C.a=1,b=0
- D.a=一1,b=O
-
7.下列各点中为二元函数z=x3-y3-3x2+3y-9x的极值点的是( )。
- A.(3,一l )
- B.(3,1)
- C.(1,1)
- D.(一1,一1)
-

- A.用洛必达法则后,求得极限为0
- B.

- C.

- D.因为不能用洛必达法则,故极限不存在
-
4.下列命题正确的是( )。
- A.分段函数必存在间断点
- B.单调有界函数无第二类间断点
- C.在开区间内连续,则在该区间必取得最大值和最小值
- D.在闭区间上有间断点的函数一定有界
-
3.设f(x)=e2x-1/e2x+1,则( )。
- A.f(x)为偶函数,值域为(-1,1)
- B.f(x)为奇函数,值域为(-∞,0)
- C.f(x)为奇函数,值域为(-1,1)
- D.f(x)为奇函数,值域为(0,+∞)
-

- A.过点(一1,2..一3),方向向量为i+2j一3k
- B.过点(一1,2,一3),方向向量为一i一2j+3k
- C.过点(1,2,一3),方向向量为-i一2j十3k
- D.过点(1,一2,3),方向向量为i一2j+3k
-
2.设a、β、r是非零向量,若a×β=a×r,则( )。
- A.β=r
- B.a//β且a//r
- C.a//(β-r)
- D.a⊥(β-r)













































































