2014年全国计算机等级《二级C语言》模拟试卷(9)
-
规定输入的字符串中只包含字母和*号。请编写函数fun,其功能是:除了字符串前导的*号之外,将串中其他*号全部删除。在编写函数时,不得使用c语言提供的字符串函数。
例如,字符串中的内容为:****A * BC*DEF*G *******,删除后,字符串中的内容应当是:
****ABCDEFG。
注意:部分源程序在文件PROGl.C中。
请勿改动主函数main和其他函数中的任何内容,仅在函数fun的花括号中填入你编写的若干语句。

-
下列给定程序中函数fun的功能是:将P所指字符串中的所有字符复制到b中,要求每复制三个字符之 后插入一个空格。
例如,若给a输入字符串:ABCDEFGKHUK,调用函数后,字符数组b中的内容为:ABC DEF GHI JK。 请改正程序中的错误,使它能得出正确结果。
注意:部分源程序在文件MODll.C中,不得增行或删行,也不得更改程序的结构。

-
下列给定程序中,函数fun的功能是:
计算如下公式

并且把计算结果作为函数值返回。
例如,若形参e的值为le-3,则函数返回值为0.551690。请在下画线处填入正确的内容并将下画线删
除,使程序得出正确的结果。
注意:部分源程序在文件BLANKl.C中。
不得增行或删行,也不得更改程序的结构!


-
下列选项中,能够满足“若字符串sl等于字符串s2,则执行sT”要求的是( )。
- A.

- B.

- C.

- A.
-
有以下语句:Char b[B];int C;,则正确的输入语句是( )。
- A.

- B.

- C.

- D.

- A.
-
有以下程序:


程序运行后的结果是( )。
- A.6,4,3,2,1
- B.6,5,4,3,2
- C.5,4,3,2,1
- D.10,4,3,2,l
-
以下程序运行后的输出结果是( )。

- A.eelcomw
- B.weoclnle
- C.welcome
- D.emoclew
-
有以下程序:

程序运行后的输出结果是( )。
- A.9
- B.6
- C.11
- D.7
-
下列关于队列的叙述中正确的是( )。
- A.在队列中只能插入数据
- B.在队列中只能删除数据
- C.队列是先进先出的线性表
- D.队列是先进后出的线性表
-
有以下程序:

程序运行后的输出结果是( )。
- A.3
- B.6
- C.9
- D.2
-
如下程序的输出结果是( )。

- A.69825
- B.63825
- C.6385
- D.693825
-
以下程序运行后的输出结果是( )。

- A.2
- B.1
- C.3
- D.O
-
有如下程序段:

执行该程序段后,X的值为( )。
- A.true
- B.false
- C.0
- D.1
-
有以下程序:


若要按以下形式输出数组右上半三角:

则在程序下划线处应填人的语句是( )。
- A.i-1
- B.i+1
- C.i
- D.4-i
-
下列叙述中错误的是( )。
- A.数据库管理系统是数据库的核心
- B.数据库系统由数据库、数据库管理系统、数据库管理员三部分组成
- C.数据共享最好的是数据库系统阶段
- D.数据库中的数据独立于应用程序而不依赖于应用程序
-
c语言规定,在一个源程序中,main函数的位置( )。
- A.必须在最开始
- B.必须在系统调用的库函数的后面
- C.可以任意
- D.必须在最后
-
在关系数据库中,用来表示实体之间联系的是( )。
- A.二维表
- B.E—R图
- C.元组
- D.文件
-
以下程序的输出结果是( )。

- A.20,024,0x14
- B.20,24,14
- C.20,0x14,024
- D.20,20,20
-
下列不属于过程设计工具中图形工具的是( )。
- A.N—S
- B.PAD
- C.程序流程图
- D.PDL
-
以下叙述中错误的是( )。
- A.改变函数形参的值,不会改变对应实参的值
- B.函数可以返回地址值
- C.可以给指针变量赋一个整数作为地址值.
- D.当在程序的开头包含头文件stdio.h时,可以给指针变量赋NULL
-
软件(程序.调试的目标是( )。
- A.诊断和改正程序中的错误
- B.尽可能多地发现程序中的错误
- C.发现并改正程序中的所有错误
- D.确定程序中错误的性质
-
数据库概念设计的过程中,以下各项中不属于视图设计设计次序的是( )。
- A.自顶向下
- B.由整体到个体
- C.由内向外
- D.由底向上
-
在执行下述程序时,若从键盘输入6和8,则结果为( )。

- A.36
- B.64
- C.48
- D.以上都不对
-
设有关系R和S,关系代数表达式为R一(R—S)表示的是( )。
- A.R∩S
- B.R—S
- C.RUS
- D.R÷S
-
用数组名作为函数调用的实参,则传递给形参的是( )。
- A.数组中所有元素的值
- B.数组的第一个数据
- C.数组的首地址
- D.数组元素的个数
-
没有以下语句


则Z的二进制值是( )。
- A.00010100
- B.00011011
- C.00011100
- D.00011000
-
设有以下语句:

其中0≤k<5。以下不是对字符串的正确引用的是( )。
- A.*strp
- B.strp[k]
- C.str[k]
- D.strp
-
以下程序中函数sCmp的功能是返回形参指针sl和s2所指字符串中较小字符串的首地址。


若运行时依次输入:abCd、abba和abC三个字符串,则输出结果是( )。
- A.abCd
- B.abba
- C.abC
- D.abCa
-
有以下程序:

程序运行后的输出结果是( )。
- A.0 2
- B.1 3
- C.5 7
- D.1 2
-
有两个关系R,S如下:


由关系R通过运算得到关系s,则所使用的运算为( )。
- A.选择
- B.插入
- C.投影
- D.连接
-
若变量已正确定义,有以下程序段:

其输出结果是( )。
- A.0,0
- B.0,1
- C.1,1
- D.程序进入无限循环
-
数据库、数据库系统和数据库管理系统之间的关系是( )。
- A.数据库包括数据库系统和数据库管理系统
- B.数据库系统包括数据库和数据库管理系统
- C.数据库管理系统包括数据库和数据库系统
- D.三者没有明显的包含关系
-
以下程序的输出结果是( )。

- A.1
- B.7
- C.9
- D.13
-
有以下程序:


程序运行后的输出结果是( )。
- A.11,12
- B.12,13
- C.13,14
- D.14,11
-
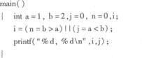
有以下程序:
#define f(x)(x*x)main
{
int i1,i2;
i1 = f(8)/(4);i2 = f(4+4)/f(2+2);
printf("%d,%d\n",i1,i2);
}
程序运行后的输出结果是( )。
- A.64,28
- B.4,4
- C.4,3
- D.64,64
-
有以下程序:

程序运行后的输出结果是( )。
- A.2,2,3,4,5,
- B.6,2,3,4,5,
- C.1,2,3,4,5,
- D.2,3,4,5,6,
-
有以下程序:

程序运行后的输出结果是( )。
- A.1,0
- B.0,1
- C.0,0
- D.1,1
-
有以下程序:

程序运行时,输入的值在哪个范围才会有输出结果( )。
- A.不等于10的整数
- B.大于3且不等于l0的整数
- C.大于3或等于l0的整数
- D.小于3的整数
-
已有定义:char c;,程序前面已在命令行中包含ctype.h文件,不能用于判断e中的字符是否为大写字母的表达式是( )。
- A.isupper(c)
- B.A<= c<= Z
- C.A<= cc<= Z
- D.c<= (z - 32)(a - 32)<= c
-
有以下程序:

程序运行后的输出结果是( )
- A.32
- B.12
- C.21
- D.22
-
下列叙述中正确的是( )。
- A.一个逻辑数据结构只能有一种存储结构
- B.数据的逻辑结构属于线性结构,存储结构属于非线性结构
- C.一个逻辑数据结构可以有多种存储结构,且各种存储结构不影响数据处理的效率
- D.一个逻辑数据结构可以有多种存储结构,且各种存储结构影响数据处理的效率
-
以下程序的输出结果是( )。

- A.1
- B.2
- C.3
- D.0
-
有以下程序:

程序运行后的输出结果是( )。
- A.1*1=1 1*2=2 1*3=32*1=2 2*2=43*1=3
- B.1*1=1 1*2=2 1*3=32*2=4 2*3=63*3=9
- C.1*1=1 1*2=2 2*2=41*3=3 2*3=6 3*3=9
- D.1*1=12*l=2 2*2=43*1=3 3*2=6 3*3=9










































