2011年上半年系统集成项目管理工程师上午试卷(参考答案版)
-
● SWOT
- ● SWOT analysis is a kind of risk identification method. If the project team chose the SO strategy, they should __(75)__. (75)A.make full use of the advantage and catch the opportunity
- B.overcome the weakness and catch the opportunity
- C.make full use of the advantage and reduce the threat
- D.overcome the weakness and reduce the threat
-
● __(73)__
- are the four major activities of software configuration management. ①configuration identification&n
- bsp; ②statement report ③
- change control ④preparation of requirement
- document ⑤configuration auditing (73)A.①②③④ B.①②④⑤ C.①②③⑤ D.②③④⑤
-
● The e
- ● The earned value technique is a commonly used method of performance measurement. It integrates project scope, cost, and schedule measures to help the project management team assess project performance. If a project’s Schedule Performance Index(SPI=EV/PV
- B.less work was completed than was planned
- C.the cost overrun for work completed
- D.the cost under-run of performance to date
-
● TCP/IP communic
- ● TCP/IP communication protocol contains four layers. From bottom to top, the four layers are __(71)__. (71)A.network interface layer, internet layer, transport layer and application layer
- B.internet layer, network interface layer, transport layer and application layer
- C.network interface layer, transport layer, network interface layer and application layer
- D.application layer, transport layer, internet layer and network interface layer
-
● 决策树分析是风险分析过程中的一项常用技术。某企业在项目风险分析过程中,采用了决策树分析方法,并计算出了EMV(期望货币值)。

以下说法中,正确的是__(70)__。
(70)A.以上进行的是定量风险分析,根据分析结果应选择修改现有技术方案的路线
B.以上进行的是定量风险分析,根据分析结果应选择设计新技术方案的路线
C.以上进行的是定性风险分析,根据分析结果应选择修改现有技术方案的路线
D.以上进行的是定性风险分析,根据分析结果应选择设计新技术方案的路线
-
● Ethernet is the commonly used loc
- al area network communication protocol. The standard of Ethernet is __(72)__. (72)A.IEEE 802.1&n
- bsp; B.IEEE 802.2
- C.IEEE 802.3
- D.IEEE 802.11
-
● 风险紧迫性评估多用于__(69)__中。
(69)
- A.风险识别&n
- bsp; B.定性风险分析
- C.定量风险分析
- D.风险应对
-
● 某系统集成企业为做好项目风险管理,给风险定义了3个参数:
1、风险严重性:指风险对项目造成的危害程度;
2、风险可能性:指风险发生的几率;
3、风险系数:是风险严重性和风险可能性的乘积。
其中,对项目进度延误、工作量偏差的风险严重性等级和风险可行性等级如下表所示:

假定该企业将风险系数大于等于6的情况定义为红灯状态,需要优先处理,则下列__(68)__的情况属于红灯状态。
(68)A.进度延误15%,工作量偏差15%,发生几率为0.5
B.进度延误15%,工作量偏差35%,发生几率为0.2
C.进度延误25%,工作量偏差15%,发生几率为0.4
D.进度延误15%,工作量偏差25%,发生几率为0.4
-
● 下图所表示的质量控制工具为__(66)__。

(66)A.散点图法 B.因果图 C.帕累托图 D.控制图
-
● 有关风险识别,以下说法不正确的是__(67)__。
(67)
- ● 有关风险识别,以下说法不正确的是__(67)__。 (67)A.项目组全体成员参与风险识别
- B.识别范围覆盖了项目的整个生命周期
- C.风险管理计划是风险识别的输出
- D.识别过程中综合运用了多种风险识别的技术和工具
-
● __(64)__不是进行项目质量保证采用的方法和技术。
(64)
- ● __(64)__不是进行项目质量保证采用的方法和技术。 (64)A.制定质量保证规划
- B.质量活动分解
- C.建立质量保证体系
- D.统计抽样
-
● 某公司对本单位负责的信息系统集成项目实施失败原因进行分析后,发现约80%的原因都是用户需求不明确、授权不清晰、以及采用了不适宜的技术,而其他十几种原因造成的失败较少。根据这些分析结果,该公司所采用项目质量控制的方法是__(65)__。
(65)
- A.散点图法&n
- bsp; B.直方图法
- C.帕累托法
- D.控制图法
-
● 某项目经理在制定项目质量计划时,从客户对项目交付物的质量要求出发,先识别客户在功能方面的要求,然后把功能要求与产品的特性对应起来,形成功能要求与产品特性的关系矩阵,进而确定产品的技术参数。他采用的方法是__(63)__。
(63)
- A.质量成本分析&n
- bsp; B.效益/成本分析
- C.质量功能展开
- D.过程决策程序图法
-
● 某系统集成企业为做好项目配置管理,对配置库中的操作权限进行了以下定义:

同时,对项目相关人员在该产品库中的操作权限进行了如下分配,其中√表示该人员具有相应权限,×表示该人员没有相应权限

则产品库权限分配表中用①②③④⑤标出的位置,应填写的内容为__(62)__。
(62)A.①√;②×;③×;④√;⑤√
B.①×;②×;③×;④×;⑤√
C.①√;②√;③√;④×;⑤√
D.①×;②√;③×;④×;⑤√
-
● 软件开发项目中的很多过程产出物都属于配置项,一般意义上来讲,以下可以不作为配置项的是__(61)__。
(61)
- A.项目计划书&n
- bsp; B.需求文档
- C.程序代码
- D.会议记录
-
● 在管理信息系统的开发过程中用到很多图表,对这些图表进行有规则的编号,可以方便图表的查找。根据生命周期的5个阶段,可以给出下图所示的分类编号规则,其中第3、4位应该表示__(60)__。

(60)A.文档页数 B.文档编号 C.文档内容 D.文档目录
-
● 某大型系统集成项目进行公开招标,要求投标人具有计算机系统集成二级资质,甲、乙两家企业为提高竞争力、增加投标成功的可能性,组成联合体以一个投标人的身份共同投标,如出现以下__(59)__情况,甲、乙两家企业组成的联合体将无法满足该项目的招标要求。
(59)
- ● 某大型系统集成项目进行公开招标,要求投标人具有计算机系统集成二级资质,甲、乙两家企业为提高竞争力、增加投标成功的可能性,组成联合体以一个投标人的身份共同投标,如出现以下__(59)__情况,甲、乙两家企业组成的联合体将无法满足该项目的招标要求。 (59)A.甲、乙两家企业共同按照招标文件的要求编制投标文件,对招标文件提出的实质性要求和条件作出了响应
- B.甲企业具有计算机系统集成二级资质,乙企业具有计算机系统集成三级资质
- C.甲、乙两家企业签订了共同投标协议,并将该协议连同投标文件一并提交招标人
- D.甲、乙两家企业经过协商,对招标项目提出了略低于市场价格的报价
-
● 某企业在项目实施过程中,为降低项目成本、更好的满足客户需求,按照以下流程对项目所需的部分产品进行了采购:
①记录项目对于产品、服务或成果的需求,并且寻找潜在的供应商;
②从供应商处获取相关信息、报价和建议书;
③审核所有建议书,在供应商中进行选择,并与选中者谈判签订最终合同;
④管理合同以及买卖双方的关系,并管理与合同相关的变更。该企业的采购流程缺少了__(58)__环节。
(58)
- ● 某企业在项目实施过程中,为降低项目成本、更好的满足客户需求,按照以下流程对项目所需的部分产品进行了采购: ①记录项目对于产品、服务或成果的需求,并且寻找潜在的供应商; ②从供应商处获取相关信息、报价和建议书; ③审核所有建议书,在供应商中进行选择,并与选中者谈判签订最终合同; ④管理合同以及买卖双方的关系,并管理与合同相
- B.编制询价计划
- C.询价、招投标
- D.合同管理和收尾
-
● 项目承建方在立项管理过程中,应从多个角度对项目进行论证,以下通常不属于承建方项目论证内容的是__(56)__。
(56)
- ● 项目承建方在立项管理过程中,应从多个角度对项目进行论证,以下通常不属于承建方项目论证内容的是__(56)__。 (56)A.技术可行性分析
- B.财务可行性分析
- C.风险分析
- D.需求验证
-
● 某地方政府策划开展一项大型电子政务建设项目,项目建设方在可行性研究的基础上开展项目评估,以下做法不正确的是__(57)__。
(57)
- ● 某地方政府策划开展一项大型电子政务建设项目,项目建设方在可行性研究的基础上开展项目评估,以下做法不正确的是__(57)__。 (57)A.项目建设方的相关领导和业界专家,根据国家颁布的政策、法规、方法、参数和条例等,进行项目评估
- B.从项目、国民经济、社会角度出发,对拟建项目建设的必要性、建设条件、生产条件、产品市场需求、工程技术、经济效益和社会效益等进行评价、分析和论证,进而判断其是否可行
- C.项目评估按照成立评估小组、制定评估计划、开展调查研究、分析与评估、编写评估报告的程序开展
- D.评估工作采用费用效益分析法,比较为项目所支出的社会费用和项目对社会所提供的效益,评估项目建成后将对社会做出的贡献程度
-
● 项目识别是承建方项目立项的第一步,其目的在于选择投资机会、鉴别投资方向。以下关于项目识别的说法不正确的是__(55)__。
(55)
- ● 项目识别是承建方项目立项的第一步,其目的在于选择投资机会、鉴别投资方向。以下关于项目识别的说法不正确的是__(55)__。 (55)A.可从政策导向中寻找项目机会,主要依据包括国家、行业和地方的科技发展和经济社会发展的长期规划与阶段性规划
- B.市场需求是决定投资方向的主要依据,投资者应从市场分析中选择项目机会
- C.信息技术发展迅速、日新月易,新技术也会给企业带来新的项目机会
- D.对项目的市场风险、技术风险、经济及社会风险等因素进行分析,为项目全过程的风险管理提供依据
-
● 一般情况下,随着项目的逐渐进展,成本和人员投入水平呈现出①的态势,而项目干系人对于项目最终产品的特征和项目最终费用的影响会②,变更和缺陷修改的费用通常会③。①、②和③分别是__(54)__。
(54)
- ● 一般情况下,随着项目的逐渐进展,成本和人员投入水平呈现出①的态势,而项目干系人对于项目最终产品的特征和项目最终费用的影响会②,变更和缺陷修改的费用通常会③。①、②和③分别是__(54)__。 (54)A.①先增后减,②逐渐减小,③逐渐增加
- B.①先减后增,②逐渐增加,③逐渐减少
- C.①先增后减,②逐渐增加,③逐渐增加
- D.①先减后增,②逐渐减少,③逐渐减少
-
● 以下关于信息系统集成项目的特点描述不正确的是__(53)__。
(53)
- ● 以下关于信息系统集成项目的特点描述不正确的是__(53)__。 (53)A.信息系统集成项目要以满足用户和客户的需求为根本出发点
- B.信息系统集成项目更加强调了沟通的重要性,技术的集成需要以最前沿技术的合理应用为基础
- C.信息系统集成项目是高技术与高技术的集成,但同时也蕴藏着没有完全掌握新技术带来的风险
- D.信息系统集成项目团队年轻、流动率高,因此对于企业的管理技术水平和项目经理的领导艺术水平要求较高
-
● 下列关于项目型组织优缺点的描述中,不正确的是__(52)__。
(52)
- ● 下列关于项目型组织优缺点的描述中,不正确的是__(52)__。 (52)A.项目型组织结构单一,责权分明,利于统一指挥
- B.项目型组织管理成本较低,项目环境利于沟通和知识共享
- C.项目型组织沟通简洁、方便,目标明确单一,决策快
- D.项目型组织的员工缺乏事业上的连续性和保障
-
● 某项目经理在进行成本估算时采用__(51)__方法,制定出如下的人力资源成本估算表。

(51)A.类比估算 B.自下而上的估算 C.参数估算 D.成本汇总
-
● 某项目甲乙双方签订了建设合同,其中对工程款支付及知识产权的描述分别是“……甲方在系统安装完毕,经试运行及初验合格后,收到乙方材料XX日内,支付第二笔款XXXX元。乙方提供的材料包括:①商业发票;②……”,从上述描述可看出,支付第二笔款还必须附加的材料是__(50)__。
(50)
- A.第三方测试报告&n
- bsp; B.初验报告
- C.专家评审报告
- D.监理工作总结报告
-
● 甲公司在进行采购时选定了乙公司的产品,但在签订采购合同时没有对采购内容的交付时间进行约定,则以下说法错误的是__(49)__。
(49)
- ● 甲公司在进行采购时选定了乙公司的产品,但在签订采购合同时没有对采购内容的交付时间进行约定,则以下说法错误的是__(49)__。 (49)A.可以通过协议或交易习惯确定交付时间
- B.不能通过协议或交易习惯确定的,则采购合同无效
- C.乙公司可以随时履行交付义务
- D.甲公司可以随时要求乙公司履行交付义务
-
● 某项目在招标时被分成5个标段,分别发包给不同的承包人。承包人中标后与招标人签订的是__(48)__。
(48)
- A.单项项目承包合同&n
- bsp; B.分包合同
- C.单价合同
- D.总承包合同
-
● 下列关于冲突及其解决方式的描述中,不正确的是__(47)__。
(47)
- ● 下列关于冲突及其解决方式的描述中,不正确的是__(47)__。 (47)A.冲突是自然的团队问题,不是某人的个人问题
- B.冲突的产生原因有项目的高压环境、责任划分不清楚、存在多个上级或者新科技的使用等
- C.冲突的解决方法有合作、强制、妥协等,但不能将冲突搁置起来,从中撤退
- D.冲突应早被发现,利用私下但直接的、合作的方式来处理冲突
-
● 下列工具或方法均可用来描述项目组织,以下说法中,不正确的是__(45)__。
(45)
- ● 下列工具或方法均可用来描述项目组织,以下说法中,不正确的是__(45)__。 (45)A.组织分解结构(OBS)与工作分解结构(WBS)形式上相似,是根据项目的交付物进行分解,把项目的活动和工作包列在负责的部门下面
- B.资源分解结构(RBS)用于分解项目中各类型的资源,除了包含人力资源之外还可以包括各种资源类型,例如材料和设备
- C.工作分解结构(WBS)可以用来确定项目的范围,也可以同来描述不同层次的职责
- D.团队成员职责需要详细描述时,可以采用文档文字形式,详细提供职责、权力、能力和资格等信息
-
● 在进行项目团队的激励时,一般不会采用的方法是__(46)__。
(46)
- ● 在进行项目团队的激励时,一般不会采用的方法是__(46)__。 (46)A.马斯洛的需要层次理论
- B.赫兹伯格的双因素理论
- C.人际网络管理
- D.期望理论
-
● 某公司按照项目核算成本,在针对某化工厂信息化咨询项目中,需进行10天的驻场研究,产生成本如下:①公司管理费用的项目分摊成本;②咨询顾问每人每天出差补贴500元,入工资结算;③顾问如需进入生产车间,每人额外增加健康补助100元/天。按照成本类型分类,上述三类成本应分别列入__(42)__。
(42)
- ● 某公司按照项目核算成本,在针对某化工厂信息化咨询项目中,需进行10天的驻场研究,产生成本如下:①公司管理费用的项目分摊成本;②咨询顾问每人每天出差补贴500元,入工资结算;③顾问如需进入生产车间,每人额外增加健康补助100元/天。按照成本类型分类,上述三类成本应分别列入__(42)__。 (42)A.①间接成本 ②间接成本 ③可变成本
- B.①间接成本 ②直接成本 ③可变成本
- C.①直接成本 ②直接成本 ③固定成本
- D.①直接成本 ②间接成本 ③固定成本
-
● 挣值管理是一种综合了范围、时间、成本绩效测量的方法,通过与计划完成的工作量、实际挣得的收益、实际的成本进行比较,可以确定成本进度是否按计划执行。下图中标号所标示的区间依次应填写__(43)__。

(43)A.①进度落后 ②成本差CV ③进度差SV
B.①成本差CV ②进度差SV ③进度落后时间
C.①进度差SV ②成本差CV ③进度落后时间
D.①进度落后 ②进度差SV ③成本差CV
-
● 在某信息化项目建设过程中,客户对于最终的交付物不认可,给出的原因是系统信号强度超过用户设备能接受的上限。请问在项目执行过程中,如果客户对于项目文件中的验收标准无异议,则可能是__(39)__环节出了问题;如果客户对于项目文件中的验收标准有异议,而项目内所有工作流程均无问题,则可能是__(40)__环节出了问题。
(39)
- A.质量控制&n
- bsp; B.WBS分解过程
- C.变更控制
- D.范围确认 (40)A.质量控制 B.WBS分解过程 C.变更控制 D.范围确认
-
● 在项目管理领域,经常把不受控制的变更称为项目“范围蔓延”。为了防止出现这种现象,需要控制变更。批准或拒绝变更申请的直接组织称为①,定义范围变更的流程包括必要的书面文件、②和授权变更的批准等级。
(41)
- ● 在项目管理领域,经常把不受控制的变更称为项目“范围蔓延”。为了防止出现这种现象,需要控制变更。批准或拒绝变更申请的直接组织称为①,定义范围变更的流程包括必要的书面文件、②和授权变更的批准等级。 (41)A.①变更控制委员会;②纠正行动、跟踪系统
- B.①项目管理办公室;②偏差分析、配置管理
- C.①变更控制委员会;②偏差分析、变更管理计划
- D.①项目管理办公室;②纠正行动、配置管理
-
● 下列关于工作分解结构(WBS)的叙述中,错误的是__(38)__。
(38)
- ● 下列关于工作分解结构(WBS)的叙述中,错误的是__(38)__。 (38)A.项目经理在分解结构时,严格地将一个工作单元隶属于某个上层工作单元,完全避免交叉从属
- B.项目管理部依照项目经理分解的WBS进行项目成本估算,但最后发现成本超过预计投资
- C.项目经理将项目管理工作也编制成为WBS的一部分
- D.项目经理在执行某复杂项目时,在项目开始阶段一次性将项目分解成为精确的WBS,最后按计划完成了任务,受到领导好评
-
● 下列做法无助于缩短活动工期的是__(37)__。
(37)
- ● 下列做法无助于缩短活动工期的是__(37)__。 (37)A.投入更多的资源以加快活动进程
- B.减小活动范围或降低活动要求
- C.通过改进方法或者技术提高生产率
- D.采用甘特图法
-
● 出现“关键路径上的活动总时差是零和负数”情况下,下列分析正确的是__(36)__。
(36)
- ● 出现“关键路径上的活动总时差是零和负数”情况下,下列分析正确的是__(36)__。 (36)A.关键路径上的活动总时差可能为零的原因是每个相邻活动都是紧前或紧后的,需要调整以给活动留出时间余地
- B.关键路径上的活动总时差可能为负的原因是由于安排调配不得当所造成的活动非合理性交错现象,有必要调整活动持续时间、逻辑关系等使得活动总时差为零
- C.关键路径上的活动总时差可能为负的原因是因为用最早时间减去最晚时间,不需要调整以给活动留出余地
- D.关键路径上的活动总时差可能为零的原因是由于安排活动进度没有余地,需要调整以给活动留出余地
-
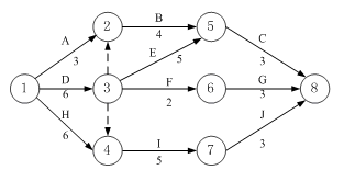
● 依据下面的项目活动网络图中,该项目历时为__(34)__天。

(34)A.10 B.11 C.13 D.14
-
● 下列__(35)__做法不属于进度压缩。
(35)
- ● 下列__(35)__做法不属于进度压缩。 (35)A.某项目经理发现项目工期延后,于是开始让项目组成员开始加班加点,提高加班工资,以期待能在规定时间内完成项目
- B.某项目经理发现项目组成员由于对技术的掌握不熟练,造成进展缓慢,延误工期,于是指派了有经验的人员帮助完成
- C.为了节省时间,在需求设计还没有完成时,项目经理就通知组内编程人员开始编写代码
- D.项目经理启用应急时间来增加一些项目时间
-
● 项目经理王某对其负责的系统集成项目进行了成本估算和进度安排,根据团队成员的情况分配了任务,并制定出计划执行预算成本的基准。由于公司高层领导非常重视该项目,特地调配了几名更有经验(薪水更高)的技术骨干参与项目,这种变化对项目绩效造成的最可能影响是__(33)__。
(33)
- ● 项目经理王某对其负责的系统集成项目进行了成本估算和进度安排,根据团队成员的情况分配了任务,并制定出计划执行预算成本的基准。由于公司高层领导非常重视该项目,特地调配了几名更有经验(薪水更高)的技术骨干参与项目,这种变化对项目绩效造成的最可能影响是__(33)__。 (33)A.正的成本偏差CV,正的进度偏差SV
- B.负的成本偏差CV,正的进度偏差SV
- C.正的成本偏差CV,负的进度偏差SV
- D.负的成本偏差CV,负的进度偏差SV
-
● 项目经理在编制项目管理计划时,应__(31)__。
(31)
- ● 项目经理在编制项目管理计划时,应__(31)__。 (31)A.越简单越好
- B.越详细越好
- C.逐步细化
- D.按照公司的模板编制,不能变更
-
● 在项目整体管理过程中监督和控制项目是一个关键环节,下列不属于监督和控制过程组的是(32)。
(32)
- ● 在项目整体管理过程中监督和控制项目是一个关键环节,下列不属于监督和控制过程组的是(32)。 (32)A.客户等项目干系人正式验收并接受已完成的项目可交付物的过程
- B.企业质量管理体系审计
- C.在管理项目团队时,项目经理与组员就组员情况进行正式交谈
- D.编制绩效报告
-
● J2EE的四层体系架构(客户层/表示层/业务逻辑层/数据层)中,可用来实现业务逻辑层的技术是__(29)__。
(29)
- A.Internet Explore&n
- bsp; B.Database
- C.Enterprise JavaBean
- D.Servlet
-
● 某项目组需要在Windows操作系统平台上用C++语言编写应用构件,该项目组宜选用__(30)__作为构件标准。
(30)
- A.COM+&n
- bsp; B.EJB
- C.OMG
- D.ODBC
-
● 在某次针对数据库的信息安全风险评估中,发现其中对财务核心数据的逻辑访问密码长期不变。基于以上现象,下列说法正确的是__(27)__。
(27)
- ● 在某次针对数据库的信息安全风险评估中,发现其中对财务核心数据的逻辑访问密码长期不变。基于以上现象,下列说法正确的是__(27)__。 (27)A.该数据不会对计算机构成威胁,因此没有脆弱性
- B.密码和授权长期不变是安全漏洞,属于该数据的脆弱性
- C.密码和授权长期不变是安全漏洞,属于对该数据的威胁
- D.风险评估针对设施和软件,不针对数据
-
● Web服务(web service)的主要目标是跨平台的操作性,它有许多适用场合。但某些情况下,Web服务也会降低应用程序的性能。下列情况中,__(28)__不适合采用Web服务作为主要的系统集成技术。
(28)
- ● Web服务(web service)的主要目标是跨平台的操作性,它有许多适用场合。但某些情况下,Web服务也会降低应用程序的性能。下列情况中,__(28)__不适合采用Web服务作为主要的系统集成技术。 (28)A.B2B集成
- B.集成不同语言编写的在不同平台上运行的应用程序
- C.跨越防火墙
- D.构建单机应用程序
-
● 信息安全的级别划分有不同的维度,以下级别划分正确的是__(25)__。
(25)
- ● 信息安全的级别划分有不同的维度,以下级别划分正确的是__(25)__。 (25)A.系统运行安全和保密有5个层次,包括设备级安全、系统级安全、资源访问安全、功能性安全和数据安全
- B.机房分为4个级别:A级、B级、C级、D级
- C.根据系统处理数据划分系统保密等级为绝密、机密和秘密
- D.根据系统处理数据的重要性,系统可靠性分A级和B级
-
● 根据《电子信息系统机房设计规范 GB50174-2008》,电子信息系统机房应对人流和出入口进行安全考虑,以下叙述错误的是__(24)__。
(24)
- ● 根据《电子信息系统机房设计规范 GB50174-2008》,电子信息系统机房应对人流和出入口进行安全考虑,以下叙述错误的是__(24)__。 (24)A.建筑的入口至主机房应设通道,通道净宽不应小于1.5m
- B.电子信息系统机房宜设门厅、休息室、值班室和更衣间
- C.电子信息系统机房应有设备搬入口
- D.电子信息系统机房必须设置单独出入口
-
● 系统运行安全的关键是管理,下列关于日常安全管理的做法,不正确的是__(26)__。
(26)
- ● 系统运行安全的关键是管理,下列关于日常安全管理的做法,不正确的是__(26)__。 (26)A.系统开发人员和系统操作人员应职责分离
- B.信息化部门领导安全管理组织,一年进行一次安全检查
- C.用户权限设定应遵循“最小特权”原则
- D.在数据转储 、维护时要有专职安全人员进行监督
-
● 依据《电子信息系统机房设计规范》(GB50174-2008),对于涉及国家秘密或企业对商业信息有保密要求的电子信息系统机房,应设置电磁屏蔽室。以下描述中,不符合该规范要求的是__(22)__。
(22)
- ● 依据《电子信息系统机房设计规范》(GB50174-2008),对于涉及国家秘密或企业对商业信息有保密要求的电子信息系统机房,应设置电磁屏蔽室。以下描述中,不符合该规范要求的是__(22)__。 (22)A.所有进入电磁屏蔽室的电源线缆应通过电源滤波器进行
- B.进出电磁屏蔽室的网络线宜采用光缆或屏蔽线缆线,光光缆应带有金属加强芯
- C.非金属材料穿过屏蔽层时应采用波导管,波导管的截面尺寸和长度应满足电磁屏蔽的性能要求
- D.截止波导通风窗内的波导管宜采用等边六角形,通风窗的截面积应根据室内换气次数进行计算
-
● 某公司有一台Linux文件服务器,多台Windows客户端和Linux客户端。要求任意一个客户端都可以共享服务器上的文件,并且能够直接存取服务器上的文件。客户端和服务器间应该使用__(23)__协议。
(23)
- A.NFS&n
- bsp; B.Samba
- C.FTP
- D.iSCSI
-
● 系统集成工程师小王为了查询其工作站的状态,在其工作站的命令行上运行“ping 127.0.0.1”命令,得到如下结果:

关于以上查询结果,下列说法中,正确的是__(20)__。
(20)
- A.小王的工作站正确安装了TCP/IP协议
- B.小王的工作站访问了网关并收到响应
- C.小王的工作站访问了DNS并收到响应
- D.小王的工作站未正确安装网络硬件或驱动程序
-
● 某综合办公大楼的楼高20层,其综合布线系统一般采用的拓扑结构是__(21)__。
(21)
- A.环型&n
- bsp; B.分级星型
- C.总线型
- D.星环型
-
● 根据下面的UML类图,以下叙述中__(18)__是不正确的。

(18)A.容器是一个组件
B.GUI组件就是一个容器
C.GUI组件是一个对象
D.容器和GUI组件都是组件
-
● TCP/IP协议族中的__(19)__协议支持离线邮件处理,电子邮件客户端可利用该协议下载所有未阅读的电子邮件。
(19)
- A.FTP&n
- bsp; B.POP3
- C.Telnet
- D.SNMP
-
● 在用例设计中,可以使用UML中的__(17)__来描述用户和系统之间的交互,说明系统功能行为。
(17)
- A.序列图&n
- bsp; B.构件图
- C.类图
- D.部署图
-
● 某市政府采购办公用计算机及配套软件时进行了公开招标,以下做法正确的是__(15)__。
(15)
- ● 某市政府采购办公用计算机及配套软件时进行了公开招标,以下做法正确的是__(15)__。 (15)A.在招标文件中明确指出投标企业不应有外资背景
- B.该项目招标结束后,招标单位向中标人发出中标通知书,但对所有未中标的投标人只通知了中标结果
- C.某项目在招标时仅有一家企业投标,于是该企业顺利中标
- D.某项目的评标委员会由一名经济专家、一名技术专家和一名招标单位负责人组成。
-
● 根据《中华人民共和国政府采购法》,以下做法正确的是__(16)__。
①某市民政局在进行政府采购的重新招标时,由于仅有两家企业的标的合格,于是报请本地采购监督管理部门批准将招标形式转为竞争性谈判
②某市民政局在进行政府采购的公开招标时,由于没有企业投标,于是报请本地采购监督管理部门批准将招标形式转为竞争性谈判
③某市民政局在进行政府采购的公开招标时,由于仅有一家企业的标的合格,于是报请本地采购监督管理部门批准将招标形式转为单一来源采购
④某县民政局在进行公开招标时连续两次出现流标,于是报请本地采购监督管理部门批准将招标形式转为竞争性谈判
(16)
- A.①②&n
- bsp; B.①③
- C.②③
- D.②④
-
● 根据《中华人民共和国招投标法》,以下做法正确的是__(14)__。
(14)
- ● 根据《中华人民共和国招投标法》,以下做法正确的是__(14)__。 (14)A.某项目于2月1日公开发布招标文件,标明截止时间为2011年2月14日9时整
- B.开标应当在招标文件确定的提交投标文件截止时间的同一时间公开进行
- C.某项目的所有投标都不符合招标文件要求,评标委员会在与招标方商量后,确定其中最接近投标文件要求的一家公司中标
- D.联合投标的几家企业中只需一家达到招标文件要求的资质即可
-
● 根据《软件文档管理指南GB/T 16680-1996》,关于软件文档的归档工作,下列说法中__(13)__是不正确的。
(13)
- ● 根据《软件文档管理指南GB/T 16680-1996》,关于软件文档的归档工作,下列说法中__(13)__是不正确的。 (13)A.软件文档必须在项目开发过程结束之后统一归档
- B.归档的文档应是经过鉴定或评审的
- C.文档应签署完整、成套、格式统一、字迹工整
- D.印制本、打印本以及各种报告应装订成册并按规定进行编号签署
-
● 软件开发项目规模度量(size me
- asurement)是估算软件项目工作量、编制成本预算、策划合理项目进度的基础。在下列方法中,__(11)__可用于软件的规模估算,帮助软件开发团队把握开发时间、费用分布等。 (11)A.德尔菲法&n
- bsp; B.V模型方法
- C.原型法
- D.用例设计
-
● 为了改进应用软件的可靠性和可维护性,并适应未来软硬件环境的变化,应主动增加新的功能以使应用系统适应各类变化而不被淘汰。为了适应未来网络带宽的需要,在满足现有带宽需求下,修改网络软件从而使之支持更大的带宽,这种软件维护工作属于__(10)__。
(10)
- A.更正性维护&n
- bsp; B.适应性维护
- C.完善性维护
- D.预防性维护
-
● 在信息系统集成项目中,经常使用__(12)__对集成的系统进行性能测试。
(12)
- A.
- Bugzilla B.TestManager
- C.TrueCoverage
- D.LoadRunner
-
● 电子商务发展的核心与关键问题是交易的安全性,目前安全交易中最重要的两个协议是__(9)__。
(9)
- A.S-HTTP和STT&n
- bsp; B.SEPP和SMTP
- C.SSL和SET
- D.SEPP和SSL
-
● 下列测试方法中,__(8)__均属于白盒测试的方法。
(8)
- ● 下列测试方法中,__(8)__均属于白盒测试的方法。 (8)A.语句覆盖法和边界值分析法
- B.条件覆盖法和基本路径测试法
- C.边界值分析法和代码检查法
- D.等价类划分和错误推测法
-
● 软件设计包括软件架构设计和软件详细设计。架构设计属于高层设计,主要描述软件的结构和组织,标识各种不同的组件。由此可知,在信息系统开发中,__(7)__属于软件架构设计师要完成的主要任务之一。
(7)
- A.软件复用&n
- bsp; B.模式设计
- C.需求获取
- D.需求分配
-
● 以互联网为基础,将数字化、智能化的物体接入其中,实现自组织互联,是互联网的延伸与扩展;通过嵌入到物体上的各种数字化标识、感应设备,如RFID标签、传感器、响应器等,使物体具有可识别、可感知、交互和响应的能力,并通过与Internet的集成实现物物相联,构成一个协同的网络信息系统。以上描述的是__(5)__。
(5)
- A.智慧地球&n
- bsp; B.三网融合
- C.SaaS
- D.物联网
-
● 模糊测试(Fuzz testing)是一种通过向目标系统提供非预期的输入并监视异常结果来发现软件漏洞的方法,是用于系统安全漏洞发掘的重要技术。模糊测试的测试用例通常是__(6)__。
(6)
- ● 模糊测试(Fuzz testing)是一种通过向目标系统提供非预期的输入并监视异常结果来发现软件漏洞的方法,是用于系统安全漏洞发掘的重要技术。模糊测试的测试用例通常是__(6)__。 (6)A.预定数量的字符串
- B.预定长度的字符串
- C.模糊集的隶属度
- D.随机数据
-
● 下列关于系统集成资质证书的叙述,正确的是__(3)__。
(3)
- ● 下列关于系统集成资质证书的叙述,正确的是__(3)__。 (3)A.所有资质证书都由工业和信息化部审批
- B.系统集成一、二级资质证书由部级评审机构审批,三、四级由地方评审机构审批
- C.系统集成一、二级资质证书由工业和信息化部审批,三、四级由地方信息产业主管部门审批,报工业和信息化部备案
- D.系统集成一、二级资质证书由工业和信息化部和部级评审机构审批,三、四级由地方信息产业主管部门和地方评审机构审批
-
● 某企业的邮件服务器经常宕机,按照IT服务管理要求,为彻底解决该问题应启动__(4)__流程。
(4)
- A.事件管理&n
- bsp; B.问题管理
- C.发布管理
- D.变更管理
-
● 计算机信息系统集成资质评定条件中规定:“对于申报信息系统集成资质二级以上资质的企业,需要已建立完备的企业质量管理体系,通过国家认可的第三方认证机构认证并有效运行一年以上”。其中“国家认可”是指经过__(2)__认可的机构。
(2)
- ● 计算机信息系统集成资质评定条件中规定:“对于申报信息系统集成资质二级以上资质的企业,需要已建立完备的企业质量管理体系,通过国家认可的第三方认证机构认证并有效运行一年以上”。其中“国家认可”是指经过__(2)__认可的机构。 (2)A.工业和信息化部指定的系统集成资质评审机构
- B.国家质量监督检验检疫总局
- C.中国合格评定国家认可委员会
- D.工业和信息化部资质认证办公室
-
● 以下对信息系统集成的描述不正确的是__(1)__。
(1)
- ● 以下对信息系统集成的描述不正确的是__(1)__。 (1)A.信息系统集成包括总体策划、设计、开发、实施、服务及保障
- B.信息系统集成主要包括设备系统集成和应用系统集成
- C.信息系统集成是具有高技术含量的工程过程,要面向用户需求提供全面解决方案
- D.信息系统集成工作的核心是满足用户要求,管理和商务活动是系统集成项目实施成功的保证










