2012年下半年软考《软件设计师》上午试卷(参考答案版)
-
●Computers will become more
- ●Computers will become more advanced and they will also become easier to use.Improved speed recognition will make the operation of a computer easier.Mrtual reality(虚拟现实),the technology of(71)witha computer using all of the human senses, will also contribu
- B.interacting
- C.communicate
- D.using ( 72)A.interfaces
- B.behavior
- C.similarities
- D.comparison (73)A.software
- B.properties
- C.programs
- D.hardware ( 74)A.empirical
-
●如果DNS服务器更新了某域名的IP地址,造成客户端域名解析故障,在客户端可以用两种方法解决此问题,其中一种是在Windows命令行下执行(70)命令。
(70)
- ●如果DNS服务器更新了某域名的IP地址,造成客户端域名解析故障,在客户端可以用两种方法解决此问题,其中一种是在Windows命令行下执行(70)命令。 (70)A.ipconfig/all
- B. ipconfig/renew
- C. ipconfig/flushdns
- D. ipconfig/release
-
●在
- ●在ASP的内置对象中,(67)对象可以修改cookie中的值。 (67)A.request
- B.response
- C.application
- D.session
-
●在Windows 2003 Server中启用配置SNMP服务时,必须以(66)身份登录才能完成SNMP服务的配置功能。
(66)
- ●在Windows 2003 Server中启用配置SNMP服务时,必须以(66)身份登录才能完成SNMP服务的配置功能。 (66) A.guest
- B.普通用户
- C.administrator组成员
- D.user组成员
-
●分配给某公司网络的地址块是220.17.192.0/20,该网络被划分为(68)个C类子网,不属于该公司网络的子网地址是(69)。
(68)
- ●分配给某公司网络的地址块是220.17.192.0/20,该网络被划分为(68)个C类子网,不属于该公司网络的子网地址是(69)。 (68)A. 4
- B. 8
- C. 16
- D. 32 (69)A. 220.17. 203.0
- B. 220.17. 205.0
- C. 220.17. 207.0
- D. 220.17. 213.0
-
●将数组{1,1,2,4,7,5}从小到大排序,若采用(62)排序算法,则元素之间需要进行的比较次数最少,共需要进行(63)次元素之间的比较。
(62)
- ●将数组{1,1,2,4,7,5}从小到大排序,若采用(62)排序算法,则元素之间需要进行的比较次数最少,共需要进行(63)次元素之间的比较。 (62)A.直接插入
- B.归并
- C.堆
- D.快速 (63)A. 5
- B. 6
- C. 7
- D. 8
-
●霍夫曼编码将频繁出现的字符采用短编码,出现频率较低的字符采用长编码。具体的操作过程为;i)以每个字符的出现频率作为关键字构建最小优先级队列;ii)取出关键字最小的两个结点生成子树,根节点的关键字为孩子节点关键字之和,并将根节点插入到最小优先级队列中,直至得到一颗最优编码树。
霍夫曼编码方案是基于(64)策略的。用该方案对包含a到f六个字符的文件进行编码,文件包含100,000个字符,每个字符的出现频率(用百分比表示)如下表所示,则与固定长度编码相比,该编码方案节省了 (65)存储空间。

(64)A.分治
B.贪心
C.动态规划
D.回溯
(65) A.21%
B.27%
C.18%
D. 36%
-
●拓扑排序是将有向图中所有顶点排成一个线性序列的过程,并且该序列满足:若在AOV网中从顶点Vi到Vj有一条路径,则顶点Vì必然在顶点Vj之前。对于下面所示的有向图,(60)是其拓扑序列。

(60) A. 1234576
B. 1235467
C. 2135476
D. 2134567
-
●下图所示为一棵M阶B-树,M最有可能的值为(61)。

-
●在13个元素构成的有序表M[1..13]中进行折半查找(向下取整),若找到的元素为M[4],则被比较的元素依次为(59)。
(59)
- ●在13个元素构成的有序表M[1..13]中进行折半查找(向下取整),若找到的元素为M[4],则被比较的元素依次为(59)。 (59)A.M[7]、 M[3]、M[5]、M[4]
- B.M[7]、M[5]、M[4]
- C. M[7]、M[6]、M[4]
- D.M[7]、M[4]
-
●若某二叉树的后序遍历序列为KBFDCAE,中序遍历序列为BKEFACD,则该二叉树为 (58)。

-
●在字符串的模式匹配过程中,如果模式串的每个字符依次和主事中一个连续的字符序列相等,则称为匹配成功。如果不能在主串中找到与模式串相同的子串,则称为匹配失败。在布鲁特—福斯模式匹配算法(朴素的或基本的模式匹配)中,若主串和模式串的长度分别为n和m(且n远大于m),且恰好在主串末尾的m个字符处匹配成功,则在上述的模式匹配过程中,字符的比较次数最多为(57)。
(57)
- ●在字符串的模式匹配过程中,如果模式串的每个字符依次和主事中一个连续的字符序列相等,则称为匹配成功。如果不能在主串中找到与模式串相同的子串,则称为匹配失败。在布鲁特—福斯模式匹配算法(朴素的或基本的模式匹配)中,若主串和模式串的长度分别为n和m(且n远大于m),且恰好在主串末尾的m个字符处匹配成功,则在上述的模式匹配过程中,字符的比较次数最多为(57)。 (57) A. n*m
- B. (n-m+1)*m
- C. (n-m-1)*m
- D. (n-m)*n
-
●设有关系模式R (E,N,M,L,Q),其函数依赖集为F={ E→N,EM→Q,M→L)。则关系模式R达到了(53);该关系模式(54)。
(53)
- ●设有关系模式R (E,N,M,L,Q),其函数依赖集为F={ E→N,EM→Q,M→L)。则关系模式R达到了(53);该关系模式(54)。 (53) A.1NF
- B.2NF
- C.3NF
- D.BCNF (54)A.无需进行分解,因为已经达到了3NF
- B.无需进行分解,因为已经达到了BCNF
- C.尽管不存在部分函数依赖,但还存在传递依赖,所以需要进行分解
- D.需要进行分解,因为存在冗余、修改操作的不一致性、插入和删除异常
-
●已知关系模式:图书(图书编号,图书类型,图书名称,作者,出版社,出版日期,ISBN),图书编号唯一识别一本图书。建立“计算机”类图书的视图Computer-BOOK,并要求进行修改、插入操作时保证该视图只有计算机类的图书。实现上述要求的SQL语句如下:
CREATE (55)
- AS SELECT图书编号,图书名称,作者,出版社,出版日期
- FROM图书 WHERE图书类型='计算机' (56); (55)A.TABLE Computer-BOOK
- B. VIEWComputer-BOOK
- C.Computer-BOOK TABLE
- D. Computer-BOOKVIEW (56)A.FOR ALL
- B.PUBLIC
- C.WITH CHECK OPTION
- D. WITH GRANT OPTION
-
●以下关于程序错误的叙述中,正确的是(50) 。
(50)
- ●以下关于程序错误的叙述中,正确的是(50) 。 (50)A.编译正确的程序必然不包含语法错误
- B.编译正确的程序必然不包含语义错误
- C.除数为0的错误可以在语义分析阶段检查出来
- D.除数为0的错误可以在语法分析阶段检查出来
-
●关系R1和R2如下图所示:

(51)A. 4
B.5
C.6
D.7
(52)A.4
B.5
C.6
D.7
-
●将高级语言源程序翻译成目标程序的是(48).
(48)
- ●将高级语言源程序翻译成目标程序的是(48). (48)A.解释程序
- B.编译程序
- C.链接程序
- D.汇编程序
-
●在对程序语言进行翻译的过程中,常采用一些与之等价的中间代码表示形式。常用的中间代码表示不包括(49)。
(49)
- ●在对程序语言进行翻译的过程中,常采用一些与之等价的中间代码表示形式。常用的中间代码表示不包括(49)。 (49)A.树
- B.后缀式
- C.四元式
- D.正则式
-
●每种设计模式都有特定的意图。(44)模式使得一个对象在其内部状态改变时通过调用另一个类中的方法改变其行为,使这个对象看起来如同修改了它的类。下图是采用该模式的有关TCP连接的结构图实例。该模式的核心思想是引入抽象类(45)来表示TCP连接的状态,声明不同操作状态的公共接口,其子类实现与特定状态相关的行为。当一个(46)对象收到其它对象的请求时,它根据自身的当前状态做出不同的反应。

(44)A.适配器( Adapter)
B.命令(Command)
C.观察者( Visitor)
D.状态(State)
(45) A.TCPConnection
B.state
C. TCPState
D.TCPEstablished
(46) A.TCPConnection
B.state
C. TCPState
D.TCPEstablished
-
●UML中接口可用于(42)。
(42)
- ●UML中接口可用于(42)。 (42)A.提供构造型( stereotype)名称为〈〈terface〉〉的具体类
- B.Java和C++程序设计中,而C#程序设计中不支持
- C.定义可以在多个类中重用的可执行逻辑
- D.声明对象类所需要的服务
-
●下列活动图中可以同时执行的活动是(43)。

(43)A.a44和a66
B.a22,a33和a44
C.a11和a77
D.a66和a77
-
●对于场景:一个公司负责多个项目,每个项目(Project)由一个员工(Employee)团队( Team)来开发。下列UML概念图中,(41)最适合描述这一场景。

(41)A.图A
B.图B
C.图C
D.图D
-
●如果要表示待开发软件系统中软件组件和硬件之间的物理关系,通常采用UML中的(40) 。
(40)
- ●如果要表示待开发软件系统中软件组件和硬件之间的物理关系,通常采用UML中的(40) 。 (40)A.组件图
- B.部署图
- C.类图
- D.网络图
-
●在面向对象技术中,(38)说明一个对象具有多种形态,(39)定义超类与子类之间的关系。
(38)
- ●在面向对象技术中,(38)说明一个对象具有多种形态,(39)定义超类与子类之间的关系。 (38)A.继承
- B.组合
- C.封装
- D.多态 (39)A.继承
- B.组合
- C.封装
- D.多态
-
●在面向对象技术中,对象具有以下特性: (37)。
①清晰的边界 ②良好定义的行为 ③确定的位置和数量 ④可扩展性
(37)
- ●在面向对象技术中,对象具有以下特性: (37)。 ①清晰的边界 ②良好定义的行为 ③确定的位置和数量 ④可扩展性 (37)A.②④
- B.①②③④
- C.①②④
- D.①②
-
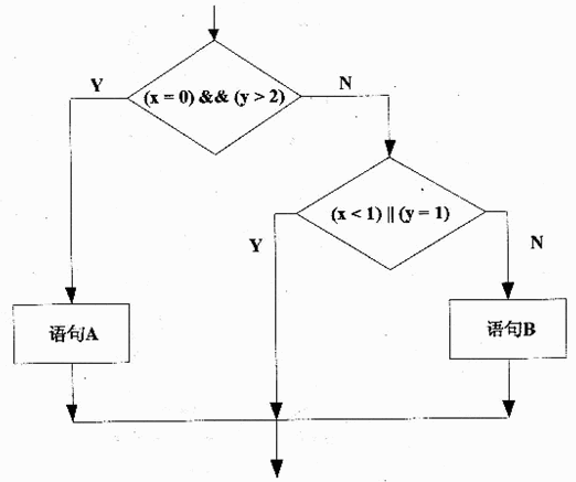
●用白盒测试方法对下图所示的程序进行测试,设计了4个测试用例:①(x=0,y=3)、②(x=1,y=2)、③(x=-1,y=2)和④(x=3,y=1)。测试用例①②实现了(35)覆盖;若要完成路径覆盖,则可用测试用例(36)。

(35)A.语句
B.条件
C.判定
D.路径
(36)A.①②
B.②③
C.①②③
D.①③④
-
●由于信用卡公司升级了其信用卡支付系统,导致超市的原有信息系统也需要做相应的修改工作,该类维护属于(34)。
(34)
- ●由于信用卡公司升级了其信用卡支付系统,导致超市的原有信息系统也需要做相应的修改工作,该类维护属于(34)。 (34)A.正确性维护
- B.适应性维护
- C.完善性维护
- D.预防性维护
-
●在屏蔽软件错误的容错系统中,冗余附加技术的构成不包括(32)。
(32)
- ●在屏蔽软件错误的容错系统中,冗余附加技术的构成不包括(32)。 (32)A.关键程序和数据的冗余存储及调用
- B.冗余备份程序的存储及调用
- C.实现错误检测和错误恢复的程序
- D.实现容错软件所需的固化程序
-
●采用McCabe度量法计算下图的环路复杂性为(31) 。

-
●以下关于文档的叙述中,不正确的是(33) 。
(33)
- ●以下关于文档的叙述中,不正确的是(33) 。 (33)A.文档仅仅描述和规定了软件的使用范围及相关的操作命令
- B.文档是软件产品的一部分,没有文档的软件不能称之
- C.软件文档的编制在软件开发工作中占有突出的地位和相当大的工作量
- D.高质量文档对于发挥软件产品的效益有着重要的意义
-
●某开发小组欲开发一个规模较大、需求较明确的项目。开发小组对项目领域熟悉且该项目与小组开发过的某一项目相似,则适宜采用(29)开发过程模型。
(29)
- ●某开发小组欲开发一个规模较大、需求较明确的项目。开发小组对项目领域熟悉且该项目与小组开发过的某一项目相似,则适宜采用(29)开发过程模型。 (29)A.瀑布
- B.演化
- C.螺旋
- D.喷泉
-
●敏捷开发方法中,(30)认为每一种不同的项目都需要一套不同的策略、约定和方法论。
(30)
- ●敏捷开发方法中,(30)认为每一种不同的项目都需要一套不同的策略、约定和方法论。 (30)A.极限编程(XP)
- B.水晶法(Crystal)
- C.并列争球法( Scrum)
- D.自适应软件开发(ASD)
-
●某系统中仅有5个并发进程竞争某类资源,且都需要3个该类资源,那么至少有(23)个该类资源,才能保证系统不会发生死锁。
(23)
- ●某系统中仅有5个并发进程竞争某类资源,且都需要3个该类资源,那么至少有(23)个该类资源,才能保证系统不会发生死锁。 (23) A.9
- B. 10
- C.11
- D. 15
-
●某计算机系统中有一个CPU、一台输入设备和一台输出设备,假设系统中有三个作业T1、T2和T3,系统采用优先级调度,且T1的优先级>T2的优先级>T3的优先级。若每个作业具有三个程序段:输入Ii、计算Ci和输出Pi(i=1,2,3),执行顺序为Ii、Ci、Pi,则这三个作业各程序段并发执行的前驱图如下所示。图中①、②分别为(24),③、④分别为(25),⑤、⑥分别为(26)。

-
●设文件索引节点中有8个地址项,每个地址项大小为4字节,其中5个地址项为直接地址索引,2个地址项是一级间接地址索引,1个地址项是二级间接地址索引,磁盘索引块和磁盘数据块大小均为1KB。若要访问文件的逻辑块号分别为5和518,则系统应分别采用(27);而且可表示的单个文件最大长度是(28) KB。
(27)
- ●设文件索引节点中有8个地址项,每个地址项大小为4字节,其中5个地址项为直接地址索引,2个地址项是一级间接地址索引,1个地址项是二级间接地址索引,磁盘索引块和磁盘数据块大小均为1KB。若要访问文件的逻辑块号分别为5和518,则系统应分别采用(27);而且可表示的单个文件最大长度是(28) KB。 (27)A.直接地址索引和一级间接地址索引
- B.直接地址索引和二级间接地址索引
- C.一级间接地址索引和二级间接地址索引
- D.一级间接地址索引和一级间接地址索引 (28)A.517
- B. 1029
- C. 16513
- D. 66053
-

-

-
●定义风险参照水准是(19)活动常用的技术。
(19)
- ●定义风险参照水准是(19)活动常用的技术。 (19)A.风险识别
- B.风险预测
- C.风险评估
- D.风险控制
-
●在软件设计阶段,划分模块的原则是:一个模块的(18)。
(18)
- ●在软件设计阶段,划分模块的原则是:一个模块的(18)。 (18)A.作用范围应该在其控制范围之内
- B.控制范围应该在其作用范围之内
- C.作用范围与控制范围互不包含
- D.作用范围与控制范围不受任何限制
-
●某软件项目的活动图如下所示。图中顶点表示项目里程碑,连接顶点的边表示包含的活动,则里程碑(16)在关键路径上,活动FG的松弛时间为(17) 。

-
●以下关于数据流图的叙述中,不正确的是(15) 。
(15)
- ●以下关于数据流图的叙述中,不正确的是(15) 。 (15)A.每条数据流的起点或终点必须是加工
- B.必须保持父图与子图平衡
- C.每个加工必须有输入数据流,但可以没有输出数据流
- D.应保持数据守恒
-
●计算机处理模拟视频信号过程中首先要进行(14) 。
(14)
- ●计算机处理模拟视频信号过程中首先要进行(14) 。 (14) A. A/D变换
- B.数据压缩
- C.D/A变换
- D.数据存储
-
●以下图像文件格式中,(12)可以在单个文件中实现多个图片轮流显示或者构成简单的动画效果。
(12)
- ●以下图像文件格式中,(12)可以在单个文件中实现多个图片轮流显示或者构成简单的动画效果。 (12)A. BMP
- B. JPEG
- C. GIF
- D.TIFF
-
●计算机终端用户因等待时间过长而放弃下载或显示图片/影像的问题,不能通过采用(13)来解决。
(13)
- ●计算机终端用户因等待时间过长而放弃下载或显示图片/影像的问题,不能通过采用(13)来解决。 (13)A.流媒体技术
- B.JPEG累进编码方式
- C.GIF图像文件格式
- D.AD/DA变换方式
-
●M软件公司的软件产品注册商标为M,为确保公司在市场竞争中占据优势,对员工进行了保密约束。此情形下该公司不享有 (10)。
(10)
- ●M软件公司的软件产品注册商标为M,为确保公司在市场竞争中占据优势,对员工进行了保密约束。此情形下该公司不享有 (10)。 (10)A.商业秘密权
- B.著作权
- C.专利权
- D.商标权
-
●X软件公司的软件工程师张某兼职于Y科技公司,为完成Y科技公司交给的工作,做出了一项涉及计算机程序的发明。张某认为该发明是利用自己的业余时间完成的,可以以个人名义申请专利。此项专利申请权应归属(11) 。
(11)
- ●X软件公司的软件工程师张某兼职于Y科技公司,为完成Y科技公司交给的工作,做出了一项涉及计算机程序的发明。张某认为该发明是利用自己的业余时间完成的,可以以个人名义申请专利。此项专利申请权应归属(11) 。 (11)A.张某
- B.X软件公司
- C.Y科技公司
- D.张某和Y科技公司
-
●(6)不属于系统总线。
(6)
- ●(6)不属于系统总线。 (6)A.ISA
- B.EISA
- C.SCSI
- D.PCI
-
●用户B收到用户
- ●用户B收到用户A带数字签名的消息M,为了验证M的真实性,首先需要从CA获取用户A的数字证书,并利用(8)验证该证书的真伪,然后利用(9)验证M的真实性。 (8)A.CA的公钥
- B.B的私钥
- C.A的公钥
- D.B的公钥 (9)A.CA的公钥
- B.B的私钥
- C.A的公钥
- D.B的公钥
-
●下列安全协议中,与TLS最接近的协议是(7)。
(7)
- ●下列安全协议中,与TLS最接近的协议是(7)。 (7)A. PGP
- B. SSL
- C. HTTPS
- D.IPSec
-
●(4)不属于按寻址方式划分的一类存储器。
(4)
- ●(4)不属于按寻址方式划分的一类存储器。 (4)A.随机存储器
- B.顺序存储器
- C.相联存储器
- D.直接存储器
-
●在I/O设备与主机间进行数据传输时,CPU只需在开始和结束时作少量处理,而无需干预数据传送过程的是(5)方式。
(5)
- ●在I/O设备与主机间进行数据传输时,CPU只需在开始和结束时作少量处理,而无需干预数据传送过程的是(5)方式。 (5)A.中断
- B.程序查询
- C.无条件传送
- D.直接存储器存取
-
●循环冗余校验码( CRC)利用生成多项式进行编码。设数据位为k位,校验位为r位,则CRC码的格式为(2)。
(2)
- ●循环冗余校验码( CRC)利用生成多项式进行编码。设数据位为k位,校验位为r位,则CRC码的格式为(2)。 (2)A.k个数据位之后跟r个校验位
- B.r个校验位之后跟k个数据位
- C.r个校验位随机加入k个数据位中
- D.r个校验位等间隔地加入k个数据位中
-
●以下关于数的定点表示和浮点表示的叙述中,不正确的是(3) 。
(3)
- ●以下关于数的定点表示和浮点表示的叙述中,不正确的是(3) 。 (3)A.定点表示法表示的数(称为定点数)常分为定点整数和定点小数两种
- B.定点表示法中,小数点需要占用一个存储位
- C.浮点表示法用阶码和尾数来表示数,称为浮点数
- D.在总位数相同的情况下,浮点表示法可以表示更大的数
-
●在CPU中,(1)不仅要保证指令的正确执行,还要能够处理异常事件。
(1)
- ●在CPU中,(1)不仅要保证指令的正确执行,还要能够处理异常事件。 (1)A.运算器
- B.控制器
- C.寄存器组
- D.内部总线













