软件水平考试(中级)数据库系统工程师上午(基础知识)试题模拟试卷6
-
(69)
- A.kinds
- B.classes
- C.formats
- D.varieties
-
(70)
- A.numerical data
- B.number data
- C.numeral data
- D.numerous data
-
(67)
- A.on-desk
- B.tabletop
- C.desktop
- D.table-board
-
(68)
- A.many-multimedia
- B.multimedia
- C.numerous-media
- D.myriad-media
-
There is no question that computer applications such as(71), electronic mail, and(72)publishing have changed the way people work. These computer applications have enhanced users capacity for communication and have improved their productivity. The success of these applications has prompted both vendors and researchers to continue to seek new ways to further advance the information technology revolution. Enter the latest innovation: networked(73)systems. They convey information in multiple(74): text, graphics, video, audio,(75), computer simulations, and so forth. Advocates of these systems argue that they are the next logical step in human communication; however, modifying our current networks to accommodate the variety of media will present significant technical difficulties.
- A.word transaction
- B.word processing
- C.word disposal
- D.word dealing
-
(64)
- A.long
- B.remote
- C.far
- D.distant
-
(65)
- A.materials
- B.words
- C.information
- D.news
-
(63)
- A.sites
- B.places
- C.locations
- D.positions
-
(62)
- A.safety
- B.guard
- C.attachment
- D.security
-
(60)
- A.配置管
- B.故障管理
- C.安全管理
- D.性能统计
-
The ARPANET(66)( the rules of syntax that enable computers to communicate on a network)were originally designed for openness and flexibility, not for(67)The ARPA researchers needed to share information easily, so everyone needed to be an unrestricted "insider" on the network. Although the approach was appropriate at the time, it is not one that lends itself to today's commercial and government use.
- As more locations with computers(known as(68)in Internet parlance)joined the ARPANET, the usefulness of the network grew. The ARPANET consisted primarily of university and government computers, and the applications supported on this network were simple:
- A.protocols
- B.statute
- C.law
- D.enactment
-
(59)
- A.配置管
- B.故障管理
- C.安全管
- D.性能统计
-
(57)
- A.30
- B.25
- C.10
- D.5
-
网络管理在网络中起着非常重要的作用,其主要功能有(45);其中,对于IP子网的划分属于(46);对付入侵,防病毒等属于(47)。
①配置管理
②故障管理
③安全管理
④性能统计
⑤计费
- A.①②③
- B.②③④
- C.①②③④
- D.①②③④⑤
-
操作系统为了解决进程间合作和资源共享所带来的同步与互斥问题,通常采用的一种方法是使用(31)。若在系统中有若干个互斥资源R,6个并发进程,每个进程都需要5个资源R,那么使系统不发生死锁的资源R的最少数目为(32)。
- A.调度
- B.分派
- C.信号量
- D.通讯
-
对于一个具有n个结点和e条边的无向图,若采用邻接表表示,则顶点表的大小为(20),所有边链表中边结点的总数为(21)。
- A.n
- B.n+1
- C.n-1
- D.n+e
-
(55)
- A.e/2
- B.e
- C.2e
- D.n+e
-
在微机中,中断过程包括(6),总线组成包括(7)。
- A.中断请求、中断响应、中断处理、中断结束
- B.中断请求、中断处理、中断返回
- C.中断响应、中断处理、中断返回
- D.中断请求、中断响应、中断处理、中断返回
-
(53)
- A.数据线、地址线、控制线
- B.信号线
- C.数据线、地址线、控制线、电源
- D.信号线、总线控制器、附属电路
-
在软件著作权的保护期内,软件著作权人享有发表权、开发者身份权、使用权、使用许可权和获得报酬权以及转让权。当软件著作权保护期满后,()。
- A.发表权将被终止
- B.开发者身份权将被终止
- C.使用许可权将被终止
- D.转让权将被终止
-
以下各字符中ASCII码值最大的是(65)。
- A.A
- B.a
- C.Z
- D.z
-
CMM(Capability Maturity Model)是由美国国防部DOD指定CMU的软件工程研究所SEI研究出来的一套过程规范,它将软件过程的成熟度分为(62)。
- A.Initial, Defined, Managed, Repeatable, Optimizing
- B.Initial, Repeatable, Managed, Defined, Optimizing
- C.Initial, Repeatable, Defined, Managed, Optimizing
- D.Initial, Managed, Defined, Repeatable, Optimizing
-
以下关于计算机病毒传播性的说法中不正确的是(63)。
- A.计算机病毒可通过U盘传播
- B.计算机病毒不会通过光盘传播
- C.计算机病毒可以通过网络传播
- D.计算机病毒不会通过打印机传播
-
快速排序方法(Quick Sort)的时间复杂度为()。
- A.O(n2)
- B.O(nlogn)
- C.O(n)
- D.O(logn)
-
MOV ADDR,OFFSET A[6]表示(59)。
- A.将地址表达式A[6]的物理地址送往字变量ADDRD
- B.将地址表达式A[6]的偏移地址送往字变量ADDR
- C.将地址表达式A[6]的绝对地址送往字变量ADDR
- D.将地址表达式A[6]的虚拟地址送往字变量ADDR
-
下面各序列中,只有(60)不是小顶堆。
- A.(16,18,32,65,43,57,66)
- B.(9,21,34,35,47,66,37)
- C.(17,22,56,77,36,39,58)
- D.(31,46,50,88,67,101,92)
-
阅读下列程序:
char a[6]="Student",b[]="ABC";
strcpy(a,B) ;
strcpy(b,"Beijing");
puts(A) ;
puts(B) ;
其输出为(56)。
- A.ABC Bei
- B.Student ABC
- C.ABC Beijing
- D.Aac Student
-
在VFP的命令窗口中进行日期的设置,要求以MM-DD-YY形式显示日期“11-15- 05”,应使用命令(57)。
- A.SET DATE TO MDY ? DATE()&&显示"11-15-05"
- B.SET DATE TO MDY DATE( )&& ,显示" 11 - 15 -05"
- C.SET DATE TO MDY ? DATE( )显示" 11 - 15 -05"
- D.SET DATE TO MDY ? DATE( )显示" 11 - 15 - 05"
-
远程教育是做为一种现代的教育形式,其相对于传统的面授教育具有(58)的特点。
①在整个学习期间,师生准永久性的分离
②在整个学习期间,学生主要是作为个人在学习
③利用多种技术媒体联系师生并承载课程内容,提供双向通信交流
④教育机构或组织通过学习材料和支持服务两个方面对学生的学习施加影响
- A.①②
- B.①②③
- C.①②④
- D.①②③④
-
已知有关系“STUDENT”,则关系运算σANE<80(STUDENT)用SQL语句表示为(52)。
- A.SELECT( * )FROM STUDENT WHERE AVE < 80
- B.SELECT( * )FROM STUDENT HAVING AVE < 80
- C.SELECT(AVE)FROM STUDENT WHERE AVE < 80
- D.SELECT(AVE) FROM STUDENT HAVING AVE < 80
-
由于学号(SN)为00291的学生已毕业,欲在关系“Student”中删除该学生的所有信息,用元组关系演算语言实现应为(53)。
- A.GET W(Student): Student. SN = 00291' DELETE W
- B.GET W: Student. SN = 00291'in Student DELETE W
- C.HOLD W(student): Student. SN = 00291' DELETE W
- D.HOLD W: Student. SN = 00291'in Student DELETE W
-
对象数据库系统不具有(51)的优点。
- A.可维护性好
- B.能有效地表达客观世界和查询信息
- C.解决了关系数据库运行中的一个典型问题,即应用程序语言与数据库管理系统对数据类型支持不一致的问题,即通常所说的“阻抗不匹配”(Impedance Mismatch)问题。
- D.面向对象的技术非常容易掌握
-
关系模型是把所有的数据都组织到表中。表由行和列组成,其中,行表示数据的(50),列表示记录中的(50)。
- A.记录 域
- B.值 范围
- C.记录 数据
- D.域 值
-
网络安全具有几方面的特性:(49)指的是数据未经授权不允许进行改变。
- A.完整性
- B.可用性
- C.可控性
- D.保密性
-
在以下有关经营性互联网和公益性互联网的说法中不正确的是(48)。
- A.经营性互联网络应当享受同等的资费政策
- B.经营性互联网络应当享受同等的技术支撑条件
- C.公益性互联网络是指为社会提供公益服务的,不以盈利为目的的互联网络
- D.公益性互联网络所使用信道的资费不能享受优惠政策
-
欲将表“学生”中的信息先按学号升序排序,再按平均成绩升序排列,其正确命令是(45)。

- A.SELECT * FROM 学生 ORDER BY 学号 ASC,平均成绩 ASC
- B.SELECT * FROM 学生 ORDER BY 平均成绩 ASC,学号 ASC
- C.SELECT * FROM 学生 ORDER BY 学号 DESC,平均成绩 DESC
- D.SELECT * FROM 学生 ORDER BY 平均成绩 DESC,学号 DESC
-
执行SQL语句“DROP TABLE学生”后,表中的数据及其建立的索引将会被删除掉,建立在其上的视图(43)。
- A.仍然保留,且可被引用
- B.仍然保留,但无法被引用
- C.也被删除,无法再被引用
- D.以上均不对
-
SQL语句“平均成绩BETWEEN 80.0 AND 90.0”表示(44)。
- A.平均成绩>80.0 AND平均成绩<90.0
- B.平均成绩<80.0 OR平均成绩>90.0
- C.平均成绩>=80.0 AND平均成绩<=90.0
- D.平均成绩<=80.0 OR平均成绩>=90.0
-
()是计算机辅助软件工程技术的简称。
- A.SDE
- B.GDI
- C.SA
- D.CASE
-
整个数据仓库系统的核心是(39)。
- A.数据的存储与管理
- B.数据源
- C.OLAP服务器
- D.前端工具
-
以下关于木马病毒的陈述中不正确的是(38)。
- A.木马病毒会破坏文件
- B.木马病毒会删除文件
- C.木马病毒可以自动删除电脑上的.dll、.ini、.exe文件
- D.用WINDOWS提供的密码记忆功能不会有中木马病毒的危险
-
软件是由(36)组成。
- A.程序,数据和文档
- B.程序和数据
- C.源代码,数据和结果
- D.源代码,数据和文档
-
以下哪些方法可做为计算机系统安全防病毒的技术(37)。
①计账
②身份验证
③密钥分离
④实时防治病毒
⑤防火墙安全技术
- A.①②③
- B.②③④
- C.②③④⑤
- D.①②③④⑤
-
数据库系统采用的数据模型有层次模型、网状模型和关系模型三种。VFP6.0数据库系统采用的是(35)型。
- A.层次
- B.网状
- C.关系
- D.层次和关系的组合
-
数据库主要有(30)两大类操作。
- A.插入和删除
- B.修改和删除
- C.检索和更新
- D.检索和修改
-
在结构化方法中,在(29)软件开发阶段,将数据流程图(DFD) 作为描述工具。
- A.可行性分析
- B.需求分析
- C.详细设计
- D.程序编码
-
在一棵二叉树上第6层的结点数最多不会超过(28)。
- A.65
- B.64
- C.31
- D.32
-
数据库管理系统(DBMS)是位于操作系统与用户之间的一个数据管理软件,其主要功能包括(27)。
- A.数据定义功能
- B.数据操纵功能
- C.数据库的运行管理
- D.以上都对
-
某有向强连通图有n个顶点,则其边数不小于(26)。
- A.n-1
- B.n
- C.n(n-1)
- D.n2
-
在数据流图(DFD) 中,圆圈表示(25)。
- A.数据值
- B.变换/加工
- C.外部实体
- D.程序的组成成分
-
数据的逻辑结构在计算机中的表示叫做(24)。
- A.数据的逻辑地址
- B.数据的虚拟地址
- C.数据的存储结构
- D.数据的逻辑描述
-
下面有关数据库系统的特点,正确的有(23)。
①查询迅速、准确;
②数据冗余度较大;
③数据的共享性好;
④具有较高的数据独立性;
⑤数据结构化;
⑥有专门的系统对数据进行统一的管理。
- A.①③④⑤
- B.①②③④⑤
- C.①③④⑤⑥
- D.①②③④⑤⑥
-
若某时期投入市场的某型号机器上编制的软件能不加修改地运行于在它之后投入市场的机器上称做(18)。
- A.向上兼容
- B.向下兼容
- C.向前兼容
- D.向后兼容
-
在数据库系统中,若某基本层次联系的集合满足以下两个条件:有且仅有一个结点无双亲;其它结点有且仅有一个双亲,则该集合称为(20)。
- A.E-R模型
- B.层次模型
- C.结构模型
- D.网状模型
-
数据库系统软件包括(19)。
- A.数据库和操作系统
- B.数据库和相应的开发工具
- C.数据库管理系统和数据库应用系统
- D.数据库管理系统,数据库应用系统及相应的开发工具
-
传统机器语言机器级,是用(16)来翻译机器指令。
- A.人工
- B.硬件
- C.编译程序
- D.微指令程序
-
根据基本结构特征,并行处理计算机可分为(17)四种不同的结构。
- A.多处理机,阵列处理机,流水线计算机和数据流计算机
- B.多处理机,阵列处理机,流水线计算机和控制流计算机
- C.多处理机,分布式处理机,流水线计算机和数据流计算机
- D.多处理机,分布式处理机,流水线计算机和控制流计算机
-
计算机系统结构不包括(14)。
- A.数据表示
- B.信息保护
- C.用户信息
- D.机器工作状态
-
已知(114)6表示六进制的114,则其用八进制可表示为(15)。
- A.(54)8
- B.(56)8
- C.(64)8
- D.(66)8
-
以下关于病毒的说法不正确的是(13)。
- A.防火墙能对计算机病毒起过滤作用,但并不一定能对所有的病毒起作用
- B.传染性计算机病毒的本质特征
- C.即使设置非常安全的站点,有时也不可避免地会遭病毒破坏
- D.代码炸弹会像病毒那样四处传播
-
在计算机网络系统的远程通信中,通常采用的传输技术是(11)。
- A.光纤传输
- B.宽带传输
- C.基带传输
- D.频带传输
-
TCP/IP模型由低到高可分为(12)四个层次。
- A.网络接口层,网际层,传输层,应用层
- B.网络接口层,链路层,传输层,应用层
- C.物理层,链路层,传输层,应用层
- D.网络接口层,会话层,传输层,应用层
-
设某磁带的有效磁带长为200m,记录的块系数为2,块间的间隔为10mm,记录长为100(byte),记录的密度为80(byte/mm)。将该磁带用于记录某种卡片(100byte),则磁带上能记录的卡片数可为(9)。
- A.160
- B.320
- C.1.6万
- D.3.2万
-
局域网的网络控制核心是( )。
- A.集线器
- B.路由器
- C.网络服务器
- D.网卡
-
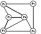
以下哪个图中的路径是简单路径(用粗线标识)(8)。
- A.

- B.

- C.

- D.

- A.
-
以下关于IP地址和域名的说法中正确的是(6)。
- A.一台主机的IP地址不一定是唯一的
- B.每台主机只能有一个域名
- C.每个域名对应一个IP地址
- D.每个IP都有一个域名与其对应
-
在队列中,(7)允许插入操作,(7)允许删除操作。
- A.队头(front)队尾(rear)
- B.队尾(rear)队头(front)
- C.队头(front)和队尾(rear)队头(front)
- D.队头(front)和队尾(rear)队头(front)和队尾(rear)
-
以下()不是操作系统的作用。
- A.可用作扩充机器
- B.计算机系统资源的管理者
- C.不同用户之间的交流
- D.用户与计算机硬件系统之间的接口
-
Email收件人的标识即Email地址,它具有(3),地址中(3)。
- A.唯一确定性 可以有空格
- B.唯一确定性 无空格
- C.不唯一性 可以有空格
- D.不唯—性 无空格
-
某段时间内某磁盘将要被访问的磁道号为28、32、87、134、96、15,设初始时从50号磁道开始向磁道号增加方向访问。若采用扫描算法(SCAN),则平均寻道长度约为(1)。
- A.20.7
- B.33.8
- C.41.2
- D.65.3




