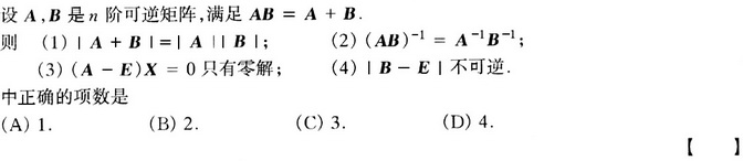
考研数学(数学三)模拟试卷84 如果您发现本试卷没有包含本套题的全部小题,请尝试在页面顶部本站内搜索框搜索相关题目,一般都能找到。 点击查看答案 点击查看答案 点击查看答案 点击查看答案 点击查看答案 点击查看答案 点击查看答案 点击查看答案 点击查看答案 点击查看答案 点击查看答案 点击查看答案 点击查看答案 点击查看答案 点击查看答案 点击查看答案 点击查看答案 点击查看答案 点击查看答案 点击查看答案 点击查看答案 点击查看答案 点击查看答案 点击查看答案