全国2014年10月高等教育自学考试《高等数学基础》试题,该试题包含单选题、填空题、计算题和综合题。
由直线y=2-x,x轴和抛物线y=x2(x>0)所围的图形为D,求(1)D的面试S(2)D绕x轴旋转所得旋转体的体积V.
做一个底为圆,容积为125π立方米的圆柱形开口容器,怎样做法用料最省?
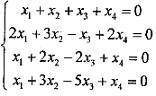
用基础解系表示齐次线性方程组的全部解.
求直线l:与平面π:2x+y-z-3=0的焦点及交角的正弦.
求定积分
已知y=ln(1+ex),求y''
已知矩阵,求A的秩.
求函数y=xarctanx-的微分dy
求极限
求不定积分ln(1+x2)dx
2017年自考计算机应用基础模拟试题
2017年自考《计算机应用基础》模拟
2017年自考《计算机应用基础》基础
自考计算机应用基础真题及答案(201
2013年1月全国自学考试管理系统中
2013年7月全国自考管理系统中计算
全国2013年10月全国自学考试管理
2012年1月全国高等教育自学考试《