求垂直于直线2x-6y+1=0且与曲线y=x3+3x2-5相切的直线方程.
求y"-2y'=2x的通解.
设z=z(x,y)由方程e2-xy+y+z=0确定,求dz.
计算,其中D是由x2+y2=1,y=x及x轴所围成的第一象域的封闭图形.
将展开为x的幂级数.
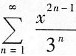
设
计算∫tanxdx.
求
幂级数的收敛半径为______.
二元函数z=x2+y2+1的极小值为_______.
2018年成人高考专升本医学综合考试
2017年成人高考专升本医学综合考试
成考专升本医学综合模拟试题一
成考专升本医学综合模拟试题二
成考专升本医学综合模拟试题三
2016年专升本医学综合真题及答案
2016年成人高考专升本医学综合考前