2011年上半年信息系统监理师上午试卷(参考答案+解析版)
-
● Which statement about the preliminary design stage of a software development project is true? (75) .
(75)
- A.The preliminary design is an internal document used only by programmers
- B.The preliminary design is the result of mapping product requirements info software and hardware functions
- C.The preliminary design of the product comes from the requirement specification
- D.The developers produce the preliminary design by defining the software structure in enough detail to permit coding
-
● You are a project manager for a small project. Your project was budgeted for ¥500,000 over a six-week period. As of today, you've spent ¥260,000 of your budget to complete work that you originally expected to cost ¥280,000. According to your schedule, you should have spent ¥300,000 by this point. Based on these circumstances, your project could be BEST described as (74) .
(74)
- A.Ahead of schedule
- B.Behind schedule
- C.On schedule
- D.Having not enough information provided
-
● A work breakdown structure (WBS) is a tool used to define and group a project's discrete work elements in a way that helps organize and define the total work scope of the project. A WBS is most useful for(72) .
(72)
- A.identifying individual tasks for a project
- B.scheduling the start of tasks
- C.scheduling the end of tasks
- D.determining potential delays
-
● Sub-contractors should obey the contractor in information system project. When censoring sub-contractors, the supervisor mostly concerns about (73).
(73)
- A.Amount of subcontract
- B.qualifications and abilities of sub-contractors
- C.responsibilities and obligations of sub-contractors
- D.the contents of the subcontract
-
● 以下做法正确的是(70) 。
(70)
- A.承建单位要求项目暂停实施,总监理工程师签发“停工令”
- B.由于出现项目质量问题,必须进行停工处理,总监理工程师签发“停工令”
- C.发生必须暂停实施的紧急事件,总监理工程师代表签发“停工令”
- D.发生需要停工事件,但建设方暂不允许项目暂停,总监理工程师不签发“停工令”
-
● 10BaseT is an Ethernet LAN term meaning a maximum transfer rate of 10Mbps that uses baseband signaling and twisted pair cabling. A 10BaseT Ethernet LAN has a (71) topology.
(71)
- A.star
- B.ring
- C.bus
- D.none of the above
-
● 在监理组织协调过程中,以下行为,(69)不能够较好体现公平、公正、独立的原则。
(69)
- A.监理单位不能同时既做信息系统工程的监理,又做系统集成业务
- B.处理监理业务一定要有可靠的依据和凭证
- C.遵守建设方的有关行政管理、经济管理、技术管理等规章制度及要求
- D.处理实际监理事务中,要有大局观,要全面地分析和思考
-
● 根据《国家电子政务工程项目档案管理暂行办法》,下列文档中,(68)不必列入电子政务验收文档范围。
(68)
- A.中标通知书
- B.未中标的投标文件
- C.工程批复
- D.承建单位内部管理文件
-
● 工程监理验收报告主体内容应包括(67) 。
(67)
- A.工程建设情况总结
- B.工程验收测试结论与分析
- C.工程监理执行情况总结
- D.工程建设过程及成果
-
● 信息系统安全管理体系中,数据安全的目标不包括(64) 。
(64)
- A.防止数据丢失
- B.防止数据崩溃
- C.防止系统之间数据通信的安全脆弱性威胁
- D.防止数据被非法访问
-
● 监理在协助建设单位制定安全管理制度过程中,应遵循的原则是 (65) 。
(65)
- A.授权最小化
- B.授权集中化
- C.授权隐蔽化
- D.授权个性化
-
● 按照工程建设信息的用途划分,工程结算签证属于 (66) 。
(66)
- A.辨识信息
- B.工程验收阶段信息
- C.文字信息
- D.投资控制信息
-
● 关于分包合同的签订,下列说法错误的是(63) 。
(63)
- A. 分包项目必须经过建设单位同意
- B. 信息系统工程主体结构的实施必须由承建单位自行完成
- C. 主体结构分包签订的合同属于无效合同
- D. 分包单位可以将自己承包的部分项目分包给具有资质条件的分承建单位
-
● 计算机软件的著作权未在合同中进行明确,则委托方享有软件的(62) 。
①使用权 ②复制权 ③展览权 ④发行权
(62)
- A.①②③④
- B.①②④
- C.①②
- D.①
-
● 关于监理变更控制的工作程序,下列说法错误的是(60) 。
(60)
- A.工程变更建议书应在预计可能变更的时间之前14天提出
- B.监理工程师签发项目变更单后,承建单位即可实施项目变更
- C.监理应就项目变更费用及工期的评估情况与建设方、承建方进行协调
- D.应由经总监理工程师授权的监理变更控制小组负责处理变更事宜
-
● 当合同中未对违约条款做出相应规定时,下列情况(61)不属于违约。
(61)
- A.承建单位擅自调换工程技术人员,但未对建设方造成经济损失
- B.建设单位因政策变更而终止合同履行
- C.建设单位因未按规定支付进度款而造成的承建方停工
- D.因承建单位破产而终止合同履行
-
● 在信息工程项目投资构成中,验收测试费属于(57) 。
(57)
- A.工程费
- B.工程管理费
- C.风险费用
- D.第三方测试费
-
● 下列情况中,工程变更申请不合理的是(58) 。
(58)
- A.建设方在建设过程中发现合同约定的采购产品降价,提出成本变更申请
- B.监理方在监理过程中发现前期设计缺陷,提出设计变更申请
- C.建设方在实施过程中发生机构改革,提出需求变更申请
- D.承建方在实施过程中因不可抗力,提出进度变更申请
-
● 在变更控制工作程序中,应在(59)时提交工程变更建议书。
(59)
- A.了解变化
- B.接受变更申请
- C.变更的初审
- D.变更分析
-
● 单方案经济评价过程中,下列情况中(55)可作为判断其经济方案合理的依据。
(55)
- A.静态成本回收期大于国家或部门所规定的标准成本回收期
- B.内部收益率大于基准收益率
- C.等效年值小于零
- D.净现值小于零
-
● 在现金流入量基本确定的情况下,能够较好体现资金机会成本的分析指标是(56) 。
(56)
- A.内含报酬率
- B.净现值
- C.现值指数
- D.敏感性
-
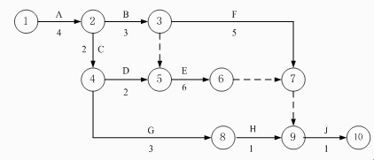
● 下图(双代号网络计划)的关键路径时间为(53)天。

(53)
- A.13
- B.14
- C.15
- D.11
-
● 根据《国家电子政务工程建设项目管理暂行办法》,项目初步设计方案和投资概算报告的编制内容,与项目可行性研究报告批复内容有重大变更或变更投资超出已批复总投资额度(54)的,应重新报批可行性研究报告。
(54)
- A.1%
- B.5%
- C.10%
- D.15%
-
● 网络图是由箭线和节点组成,用来表示工作流程的有向网状图形。在单代号图中,箭线表示(52) 。
(52)
- A.工作或事件
- B.工作持续时间
- C.工作之间的逻辑关系
- D.工作的开始或结束状及工作之间的连接点
-
下图为用以展现进度的香蕉曲线图,图中曲线A为最早时间计划,曲线B为最迟时间计划,曲线C、D、E、F为实际进度,(50)表示延期。

(50)
- A.C
- B.D
- C.E
- D.F
-
● 下列说法错误的是(51) 。
(51)
- A.工程进度曲线可用于观测关键路径上的关键作业
- B.工程施工进度曲线的切线斜率即为施工进度速度
- C.进度曲线比甘特图更容易表示出实际进度较计划进度超前或延迟的程度
- D.工程施工进度曲线图无法表示某进度条件下的所需资源
-
● 监理在设计阶段常选用的质量控制措施不包括(48) 。
(48)
- A.组织设计交底会
- B.审查关键部位测试方案
- C.协助建设单位制定项目质量目标规划
- D.协助建设单位提出工程需求方案,确定工程的整体质量目标
-
● 下列关于监理设置质量控制点的说法,错误的是(49) 。
(49)
- A.质量控制点的设置应相对灵活,可根据实际情况进行调整和增减
- B.监理应自行设定质量控制点时,无需与承建单位进行商定
- C.质量控制点应设置在工程质量目标偏差易于测定的关键处
- D.质量控制点的设置应利于监理工程师及时发现质量偏差
-
● 下列因素对信息系统工程的质量产生负面影响相对较小的是(47) 。
(47)
- A.工程投资相对较高
- B.项目经理工程经验较少
- C.项目实施人员流动频繁
- D.系统变更调整较为随意
-
● (46)不是总监理工程师代表可以行使的职责。
(46)
- A.负责项目日常监理工作
- B.调换不称职的监理人员
- C.主持编写并签发监理周报
- D.参与工程质量事故的调查
-
● 监理工程师未能正确地履行合同中规定的职责,在工作中发生失职行为造成损失,属于监理工作的(43) 。
(43)
- A.行为责任风险
- B.工作技能风险
- C.技术资源风险
- D.管理风险
-
● 监理实施细则是以(44)为对象而编制的,用以指导各项监理活动的技术、经济、组织和管理的综合性文件。一般情况下,(45)不适合作为监理实施细则的内容。
(44)
- A.监理单位
- B.监理项目
- C.监理规划
- D.监理结构 (45)
- A.工程专业特点
- B.监理工作流程
- C.监理组织结构
- D.监理控制要点
-
● 下列有关监理服务质量管理方面的叙述,正确的是(42) 。
(42)
- A.采用单位管理为主的监理服务质量的管理方式,有利于调动总监理工程师质量控制的积极性
- B.监理服务质量控制可采取文件审核、旁站、询问、征求意见等方式进行
- C.监理服务质量的控制方式按照评价方式可分为预防性控制、监督性控制、补偿性控制
- D.采用监理项目部自我管理为主的监理服务质量的管理方式,可以保证单位各个监理项目部按照统一的要求进行监理,易于控制
-
● 用于指导监理项目部全面开展工作的纲领性文件是 (41) 。
(41)
- A.监理大纲
- B.监理规划
- C.监理细则
- D.监理合同
-
● 在“四控,三管,一协调”的监理内容中,(40)活动属于“三管”的内容。
(40)
- A.监理单位对隐蔽工程进行旁站和检查
- B.监理单位进行工程投资决算
- C.监理单位进行合同索赔的处理
- D.监理单位主持召开项目的三方工程例会和专题会议
-
● 审查测试设计是监理方质量控制的重要手段,根据常用的W模型测试策略,在需求分析与系统设计过程中,监理方应审查的相应测试设计为(39) 。
(39)
- A.验收测试设计与性能测试设计
- B.用户测试设计与集成测试设计
- C.单元测试设计与集成测试设计
- D.确认测试设计与系统测试设计
-
● 关于项目风险管理的叙述, (38)是错误的。
(38)
- A.为了做好项目风险管理,必须采取措施避免出现需求变更的情况
- B.项目风险管理过程包括风险识别、风险分析、风险应对和风险控制
- C.可采用流程图(鱼刺图)和访谈等工具进行风险识别
- D.应对风险的3项基本措施是规避、接受和减轻
-
● 项目质量管理由质量计划编制、质量保证和 (36)三方面构成。(37)是为使项目能够满足相关的质量标准而建立的有计划的、系统的活动。
(36)
- A.质量体系
- B.质量规范
- C.质量控制
- D.质量记录 (37)
- A.质量计划
- B.质量保证
- C.质量记录
- D.质量认证
-
● 按照《电子文件归档与管理规范 GB/T 18894-2002》的要求,进行电子文件管理时,电子文件稿本代码F代表 (34) ,电子文件类别代码O代表 (35) 。
(34)
- A.草稿性电子文件
- B.非正式电子文件
- C.正式电子文件
- D.原始电子文件 (35)
- A.文本文件
- B.图形文件
- C.影像文件
- D.超媒体链接文件
-
● ISO/IEC 9126定义的软件质量特性,包括功能性、可靠性、 (32) 、效率、可维护性和可移植性。成熟性子特性属于软件的 (33) 质量特性。
(32)
- A.稳定性
- B.适合性
- C.易用性
- D.准确性 (33)
- A.功能性
- B.可靠性
- C.可维护性
- D.可移植性
-
● 因为JAVA平台(30) ,所以具有较强的可移植性。
(30)
- A.具有强大的数据操作和事务处理能力
- B.采用JAVA虚拟机技术
- C.可用的组件较多,功能丰富
- D.适用于分布式系统,支持多层架构应用
-
● 在面向对象编程及分布式对象技术中,(31)是类和接口的集合。
(31)
- A.对象
- B.组件
- C.实例
- D.属性
-
● 质量体系文件通常由三部分组成,包括质量手册、(28)和作业指导书。质量体系文件的特性不包括 (29) 。
(28)
- A.质量原则
- B.质量记录
- C.质量说明
- D.程序文件 (29)
- A.法规性
- B.不变性
- C.唯一性
- D.适用性
-
● 配置管理是软件质量保证的重要一环,软件配置管理的基本任务包括配置标识、版本管理、变更管理、(26)和配置报告。在配置管理库中,受控库(CL)通常以(27)为单位建立并维护。
(26)
- A.配置组管理
- B.配置对象管理
- C.配置审核
- D.配置库管理 (27)
- A.开发项目
- B.配置管理项
- C.子系统
- D.软件产品
-
● 在面向对象软件开发方法中,一个对象一般由 (25) 组成。
(25)
- A.名称、消息、函数
- B.名称、属性、实例
- C.对象名、属性、消息
- D.对象名、属性、方法
-
● 统一建模语言UML中用来反映代码的物理结构的是 (24) 。
(24)
- A.用例图
- B.协作图
- C.组件图
- D.状态图
-
● 数据仓库的内容是随时间变化的,这种变化趋势不包过 (22) 。
(22)
- A.不断增加新的数据内容
- B.捕捉到的新数据会覆盖旧的快照
- C.不断删去过期的数据内容
- D.综合数据将随时间变化而不断地进行重新综合
-
● 以下关于软件需求分析的说法中,不正确的是 (21) 。
(21)
- A.需求分析需要进行软件功能和性能的技术实现方法描述
- B.需求分析文档可用于指导后续的开发过程
- C.软件需求包括业务需求、用户需求、功能需求和非功能需求等
- D.软件需求一般应由用户方组织进行确认
-
● 软件的软件的 (23) 反映了组织机构或客户对系统、产品高层次的目标要求。
(23)
- A.业务需求
- B.技术先进性
- C.功能需求
- D.性能需求
-
● 若一个网络系统中有150个信息点,按照EIA/TIA586标准进行结构化布线,则布线工程需要准备RJ45头的总量是 (20) 个。
(20)
- A.600
- B.780
- C.618
- D.690
-
● 电子商务发展的核心与关键问题是交易的安全性,目前安全交易中最重要的两个协议是(19) 。
(19)
- A.S-HTTP和STT
- B.SEPP和SMTP
- C.SSL和SET
- D.SEPP和SSL
-
● 移动流媒体技术是近几年的热点技术,以下关于移动流媒体特点的说法不正确的是 (18) 。
(18)
- A.移动流媒体文件在客户端保存
- B.移动流媒体文件对客户端存储空间要求不高
- C.移动流媒体可以实现手机、PC、电视的三屏互动
- D.移动流媒体可以实时播放,大大缩短启动延时
-
● 关于水平布线系统,下列说法中错误的是 (17) 。
(17)
- A.水平布线系统起着支线的作用,一端连接垂直布线系统或设备间,另一端连接用户工作区
- B.水平布线系统包括安全在接线间和用户工作区插座之间的水平方向连接的电缆及配件
- C.在一个多层的建筑物中,水平布线系统是整个结构化布线系统的骨干部分
- D.水平布线系统将垂直布线的干线线路延伸到用户工作区的通信插座
-
● 还原速度最快的数据备份策略是 (14) 。
(14)
- A.完全备份+增量备份+差分备份
- B.差分备份+增量备份
- C.完全备份+增量备份
- D.完全备份+差分备份
-
● 某综合办公大楼的楼高20层,其综合布线系统一般采用的拓扑结构是(15) 。
(15)
- A.环型
- B.分级星型
- C.总线型
- D.星环型
-
● SNMP协议与OSI/RM模型中的 (16) 层对应。
(16)
- A.会话层
- B.应用层
- C.表示层
- D.网络层
-
● 以下关于数据存储的理解中,说法正确的是 (13) 。
(13)
- A.DAS存储方式主要适用于小型网络,当存储容量增加时难以扩展
- B.NAS存储方式通过光纤通道技术连接存储设备和应用服务器
- C.SAN具有良好的扩展能力,实现了真正的即插即用
- D.与NAS相比,SAN具有更高的连接速度和处理能力,但网络部署比较困难
-
● 大型局域网通常划分为核心层、汇聚层和接入层。以下关于各个网络层次的描述中,不正确的是 (12) 。
(12)
- A.核心层承担访问控制列表检查
- B.汇聚层定义了网络的访问策略
- C.接入层提供局域网接入功能
- D.接入层可以使用集线器代替交换机
-
● 电子邮件系统(Email)一般适合采用的交换方式是 (11) 。
(11)
- A.时分交换
- B.分组交换
- C.ATM
- D.报文交换
-
● 下列对网络层次化设计理解,不正确的是 (10) 。
(10)
- A.层次化设计易于扩展
- B.可以使故障排除更容易
- C.使网络容易升级到最新的技术,无需改变整个环境
- D.使配置复杂性提高,不易被攻击
-
● 用户使用匿名FTP连接远程主机,而无须成为其注册用户。下列 (8) 是匿名FTP的用户标识符。
(8)
- A.real
- B.guest
- C.anonymous
- D.ftp
-
● 下列对//www.shangxueba.com/index.htm理解不正确的是 (7) 。
(7)
- A.http是URL
- B.//www.shangxueba.com/index.htm是对index进行寻址
- C.www.shangxueba.com是服务主机名
- D.index.htm是网页文件名
-
● (9) 一般不属于核心交换机选型的首要策略。
(9)
- A.高性能和高速率
- B.良好的可管理性
- C.强大的网络控制能力
- D.价格便宜、使用方便、即插即用
-
● 以下关于MPLS技术特点的说法中,不正确的是 (6) 。
(6)
- A.MPLS充分采用原有的IP路由,在此基础上改进,保证了网络灵活性
- B.MPLS采用帧中继进行传输
- C.MPLS网络的数据传输与路由计算分开,是一种面向连接的传输技术
- D.MPLS的标签合并机制支持不同数据流的合并传输
-
● 下面关于交换机的说法中,正确的是 (5) 。
(5)
- A.以太网交换机可以连接运行不同网络层次协议的网络
- B.从工作原理上讲,以太网交换机是一种多端口网桥
- C.集线器是交换机的一种类型
- D.通过交换机连接的一组工作站形成一个冲突域
-
● 面向对象分析与设计中, (3) 是类的一个实例。
(3)
- A.对象
- B.接口
- C.构件
- D.设计模式
-
● 以下对信息系统建设的原则的理解,不正确的是 (2) 。
(2)
- A.在项目实施过程中,应由承建方高层抓项目管理
- B.应切实加强用户的参与
- C.系统建设是一把手工程,应得到建设方高层的大力支持
- D.在信息系统项目实施过程中应制定计划,计划可按照需要和工作程序及时调整
-
● 在计算机存储系统中,存储速度最快的设施是 (4) 。
(4)
- A.主存
- B. Cache
- C. 磁带
- D. 磁盘
-
● 信息系统工程建设过程比较复杂,涉及基础设施、网络、软件开发、系统集成等各个方面。下列叙述中,不正确的是 (1) 。
(1)
- A.由于信息系统工程属于典型的多学科合作项目,因此承建单位除了要有IT方面的技术外,还要有行业应用的丰富经验
- B.信息系统工程可以采用软件复用技术,因此能够标准化快速开发完成
- C.信息系统工程行业特征比较明显,行业差异比较大
- D.信息系统工程在逐渐明晰的过程中产生很多变更,意味着工作范围可能发生变更

