某公园销售两种门票:个人票每张5元;10人一张的团体票每张30元,购买10张以上团体票者可优惠10%,某单位共208人游园至少要花多少元买门票?
红、黑、白三种颜色的球各10个。把它们全部放入甲、乙个袋子中,要求每个袋子里三种颜色的球都有,且甲、乙个袋子中三种颜色的球数之积相等,那么共有( )种放法?
某公园销售两种门票:个人票每张5元;10人一张的团体票每张30元,购买10张以上团体票者可优惠10%,某单位共208人游园至少要花多少元买门票?
一个装满了水的水池有一个进水阀及三个口径相同的排水阀,如果同时打开进水阀及一个排水阀,则30分钟能把水池的水排完,如果同时打开进水阀及两个排水阀,则10分钟能把水池的水排完。问:关闭进水阀并且同时打开三个排水阀,需要几分钟才排完水池的水?
A、B两人同时从700米长的山坡坡底出发向上跑,跑到坡顶立即返回。他们俩的上坡速度不同,下坡速度则是两人各自上坡速度的2倍。A首先到达坡顶,立即沿原路返回,并且在离坡顶70米处与B相遇。当A到达坡底时,那么B离坡底( )米。
如图,梯形ABCD中,AB∥DC,∠ADC+∠BCD=90°,且DC=2A B,分别以DA、A B、BC为边向梯形外作正方形,其面积分别为S1、S2、S3,则S1、S2、S3之间的关系是( )。

某市发生一起交通事故,一目击者称逃逸的出租车是绿色的。此前有研究表明,突发事件中目击者看走眼的可能性为20%;而据统计数据,A市85%的出租车为绿色,其余为黄色。请问,此事故中目击者没看走眼的概率为多少?

如图,E、F分别是长方形ABCD长边上AD、BC的五等分点,G、H是短边上的三等分点,依次连接E、G、F、H后,得到平行四边形EGFH,已知平行四边形EGFH的面积是21,则长方形ABCD的面积是多少?

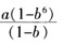
某地拟建一垃圾处理厂,根据调查,该地区垃圾的年均增长量为6吨,2010年产生的垃圾量为a吨,则从2010年到2015年总共要处理多少吨垃圾?

现有男、女职工共1100人,其中全体男工和全体女工可用同样天数完成同样的工作;若将男工人数和女工人数对调一下,则全体男工25天完成的工作,全体女工36天才能完成,则男职工有多少人?
对于同一个数.甲将其除以8,乙将其除以9。甲所得的商数与乙所得的余数之和为13,那么甲所得的余数是多少?
2009年初级会计职称考试《初级会计
2002年初级会计职称考试《初级会计
2010年初级会计职称考试《初级会计
2011年初级会计职称考试《初级会计
2013年初级会计职称考试《初级会计
2012年初级会计职称考试初级会计实
2018年初级会计职称考试《会计实务
2010年会计职称《初级会计实务》模
2019年初级会计职称考试《实务考试
2010年会计职称考试《初级会计实务